I. QUÍMICA EN FASE SÓLIDA

PRINCIPIOS BÁSICOS DE LA QUÍMICA EN FASE SÓLIDA

El advenimiento de la química combinatoria ha llevado a un considerable uso de la síntesis en fase sólida, ya que, aunque la misma se puede realizar también en solución utilizando química tradicional, la síntesis en fase sólida ha sido la metodología de primera elección entre los científicos dedicados a esta nueva disciplina.1 Desde el punto de vista de los objetivos de la química combinatoria (rapidez y eficiencia), la química en fase sólida simplifica las etapas más trabajosas y largas del proceso de síntesis, por ejemplo, el tratamiento de la reacción y la purificación de los productos, facilitando además el proceso de automatización.

Tradicionalmente, las reacciones en química orgánica implican que un reactivo, por ejemplo A, es disuelto en un solvente adecuado para permitir la reacción con B (figura I.1). También se suele agregar un reactivo que no aparecerá como parte integrante de los productos pero que favorecerá la unión entre A y B (reactivo acoplante C). Luego de finalizada la reacción tendremos el producto esperado, A-B, pero también restos de B que se agregó en exceso, y el reactivo acoplante C. Para aislar A-B deberán realizarse procedimientos de purificación, como las extracciones líquido-líquido o las separaciones cromatográficas, las que requieren cierta inversión de tiempo y considerable labor manual.

En el caso de la síntesis en fase sólida (figura I.2), el material de partida que hay que transformar se encuentra unido a un soporte sólido, polimérico e insoluble en solventes orgánicos (resina), por lo que, en una reacción similar a la anterior, el producto A-B estará unido a este soporte sólido. Una simple filtración elimina todo aquello que no sea el producto A-B, que es lo único anclado a la resina. Cuando se realizan varias reacciones simultáneamente un problema suele ser la diferente reactividad de los distintos sustratos empleados; la síntesis en fase sólida puede solucionar el inconveniente ya que permite el uso de varios equivalentes de reactivo, llevando el equilibrio hacia los productos y, por lo tanto, mejorando el rendimiento de las reacciones más difíciles. El exceso de reactivo agregado no representa ningún problema pues se elimina por una simple filtración.

image

FIGURA I.1. Esquema de la síntesis tradicional en solución.

Las técnicas de síntesis en fase sólida que son aplicadas en química combinatoria tomaron como base el desarrollo ya existente surgido en 1963 a partir del trabajo pionero de R. Bruce Merrifield. En ese trabajo Merrifield demostró la utilidad del soporte sólido para la síntesis de péptidos, particularmente en la preparación de bradiquinina, un nonapéptido que sintetizó en tan sólo 27 horas.2 El método desarrollado por Merrifield, conocido a partir de ese momento como síntesis peptídica en fase sólida (SPPS), fue tan exitoso que en la actualidad la mayoría de los péptidos son sintetizados por esa vía. La importancia del descubrimiento llevó a Merrifield a recibir el Premio Nobel de Química en 1984.

image

FIGURA I.2. Esquema de la síntesis en fase sólida.

La figura I.3 esquematiza el proceso desarrollado por Merrifield. El soporte sólido (representado a lo largo de esta monografía como una bolita gris) está unido covalentemente a un ligante, esto es, una estructura que conectará el soporte a la molécula que se quiere modificar. El proceso se puede dividir en tres etapas principales:

a) Acoplamiento inicial: el aminoácido inicial A se hace reaccionar con el sistema soporte sólido-ligante. La molécula A puede presentar diferentes grupos funcionales (grupos ácidos carboxílicos, aminas, alcoholes, etc.) que, salvo el que se utiliza para unir a la resina, se encuentran protegidos al momento de la reacción de acoplamiento para evitar su participación en la misma. Aquí esa protección está representada por figuras geométricas como triángulos y tetraedros. Luego del acoplamiento inicial, tenemos nuestro aminoácido A unido covalentemente al soporte sólido, una simple filtración eliminará el exceso de A que no se ha unido a la resina.

b) Crecimiento del péptido: el aminoácido A inmovilizado, es decir, unido al soporte sólido, debe perder el grupo protector del amino para permitir que reaccione con el siguiente aminoácido B. Éste es el paso de desprotección. Luego se producirá el acoplamiento con B (que está debidamente protegido).

image

FIGURA I.3. Esquema del proceso de síntesis en fase sólida de un péptido.

El proceso se repite tantas veces como sea necesario: primero desprotección y luego acoplamiento del siguiente aminoácido. En todos los casos, al final de cada reacción se eliminará el exceso de reactivos por filtración y el compuesto deseado será retenido por el filtro, completando su purificación con simples lavados de la resina para eliminar residuos adsorbidos u ocluidos en la resina.

c) Separación final de la resina: cuando se logra obtener el péptido de la longitud deseada, es necesario liberar el compuesto del soporte sólido, generalmente en el mismo paso se eliminan los otros grupos protectores para obtener el péptido “limpio”. En este caso, a diferencia de los pasos anteriores, el compuesto de interés no será aquél retenido por el filtro sino, por el contrario, el que se encuentra en solución, ya que ha sido liberado de aquello que lo hacía insoluble.

Tres son los requerimientos principales para la utilización de fase sólida en síntesis orgánica:

1) Un material polimérico, entrecruzado e insoluble que sea inerte a las condiciones de reacción.

2) Algún medio para unir el sustrato al soporte sólido que permita la separación selectiva del producto de interés al final de la síntesis.

3) Una estrategia de protección química que permita la protección y desprotección selectiva de los grupos reactivos (principio de ortogonalidad).

EL SOPORTE SÓLIDO

Las matrices poliméricas insolubles tienen como objetivo principal facilitar la separación sólido-líquido por filtración. Los requerimientos generales para un soporte son estabilidad mecánica y química en las condiciones en que va a ser usado. La estabilidad mecánica se requiere para evitar la destrucción de los granos de resina en partículas más pequeñas, las cuales podrían escaparse al filtrar u obturar los filtros.

Varios materiales poliméricos resultaron ser útiles para la síntesis orgánica en fase sólida, pero no todos los materiales son compatibles con los distintos tipos de solventes, reactivos y condiciones de reacción en la química orgánica.

Los soportes sólidos pueden clasificarse en hidrofóbicos o hidrofílicos, siendo los primeros los de uso más común en química orgánica en fase sólida. Dentro de los soportes sólidos más populares se destacan claramente los granos de poliestireno entrecruzado con divinilbenceno (figura I.4). A ciertos intervalos, los núcleos aromáticos del poliestireno poseen un grupo funcional “X”, que es grupo ligante que une el polímero a la estructura que se desea modificar. Si ese grupo es un grupo clorometil (X = CH2Cl), la resina se conoce como resina de Merrifield. Como veremos un poco más adelante, el ligante y el soporte sólido son fundamentales a la hora de decidir el tipo de resina que se utilizará para una determinada reacción.

image

FIGURA I.4. Estructura de la resina de poliestireno entrecruzada con divinilbenceno.

Las reacciones en fase sólida son verdaderamente síntesis en fase gel, dado que el medio de reacción es una resina altamente solvatada. La expansión del volumen de los granos de resina por solvatación de su red polimérica se denomina hinchado, y es una característica muy importante a evaluar en este tipo de reacciones. Los solventes pueden penetrar dentro de la resina en diferentes cantidades, causando que el tamaño de los granos aumente.3 Sin este hinchamiento los reactivos no llegan a los sitios de reacción en el interior del polímero (figura I.5).

Mientras que resinas hidrofóbicas se hinchan apropiadamente en solventes apolares (aumentando de tres a ocho veces el tamaño de sus granos), su hinchamiento es pobre en solventes próticos polares tales como alcoholes o agua.4 El entrecruzamiento con divinilbenceno que tienen estas resinas es normalmente de entre 1 y 2%, lo cual asegura una relación adecuada entre un buen hinchamiento y una aceptable estabilidad mecánica de los granos (bajos niveles de entrecruzamiento resultan en granos que son muy frágiles). En general, el uso de soportes sólidos del tipo poliestireno-divinilbenceno no es recomendable a temperaturas mayores de 120 °C debido al ablandamiento del polímero y la mayor incidencia de reacciones no deseadas sobre la estructura del propio soporte.

image

FIGURA I.5. Solventes poco polares hinchan las resinas de poliestireno-divinilbenceno permitiendo la llegada del reactivo al interior del polímero.

Los granos de resinas que se usan comúnmente en síntesis en fase sólida son partículas de entre 90 y 200 μm, esto las hace suficientemente grandes para que un gran número de sitios de reacción (grupos “X” en la figura I.4) se encuentren en un solo grano. La carga de la resina, definida como el número de sitios de reacción por gramo de resina, se encuentra normalmente en un rango cercano a 1 mmol/g.

La estrategia de síntesis peptídica en fase sólida desarrollada por Merrifield utiliza la resina que lleva su nombre y el grupo terc-butoxicarbonil (Boc) como protector del grupo amino (figura I.6). De esta manera, el Boc-amino-ácido se acopla a la resina y luego se trata con ácido trifluoracético (TFA) que permite la liberación del grupo amino sin afectar la unión a la resina. Esta estrategia requiere habitualmente condiciones acídicas fuertes (por ejemplo, ácido fluorhídrico) para la separación final del péptido terminado.

Si bien los soportes sólidos del tipo poliestireno han sido usados por años, últimamente han surgido nuevas resinas para síntesis orgánica en fase sólida que tratan de paliar algunas de las deficiencias de las resinas originales.

En la síntesis de péptidos, un problema del soporte de poliestireno es su naturaleza totalmente opuesta al péptido que se sintetiza unido a ella (poliestireno hidrofóbico, cadena peptídica más hidrofílica). Esto hace que la cadena peptídica se repliegue para satisfacer sus requerimientos de formación de puentes de hidrógeno, no se solvate y así disminuyen las posibilidades de que el extremo de dicha cadena quede expuesto para la siguiente reacción. De esta manera han surgido las resinas poliamídicas, obviamente de hidrofilicidad similar a la cadena peptídica.

image

FIGURA I.6. Síntesis peptídica en fase sólida a través de la estrategia resina de Merrifield/Boc.

image

FIGURA I.7. Resina de polietilenglicol-poliestireno (PEG-PS).

Una solución intermedia es la llamada resina de polietilenglicol-poliestireno (PEG-PS). Ésta consiste en un esqueleto de poliestireno entrecruzado con divinilbenceno al cual están unidas cadenas de polietilenglicol (PEG) derivatizados (figura I.7).5

Estas resinas se caracterizan por un mejor hinchado en solventes polares: agua, metanol, acetonitrilo, dimetilformamida, lo que permite, por ejemplo, trabajar en fase sólida con soluciones acuosas. Además el “ambiente” que rodea las reacciones en estas resinas se asemeja a aquel que producen el éter o el tetrahidrofurano en reacciones en solución (PEG es similar en su estructura al tetrahidrofurano). Esto potencialmente implica una mayor compatibilidad con un gran número de reacciones comunes en química orgánica. Sin embargo, también tiene algunas desventajas, como su baja capacidad de carga (generalmente no mayor a 0.4 mmol/g) y su dificultad de manejo (es pegajosa y difícil de secar).

Existen en la actualidad resinas que tienen la capacidad de duplicar el hinchado que se logra con las resinas de poliestireno entrecruzado con 1% de divinilbenceno. Éste es el caso de las resinas denominadas Janda Jel.6 Las resinas tipo Janda Jel (figura I.8) están estructuralmente formadas por poliestireno entrecruzado con 1,4-bis(vinilfenoxi)-butano en lugar del tradicional divinilbenceno. El grupo vinilfenoxi le confiere mayor flexibilidad, mejorando la solvatación de la resina. Las resinas Janda Jel se usan en una gran variedad de transformaciones sintéticas.

image

FIGURA I.8. Resina tipo Janda Jel.

LOS LIGANTES

Considerando el soporte sólido como una matriz inerte y pasiva químicamente, el ligante hace las veces de un grupo protector (inmovilizado) de la estructura que se quiere modificar, ya que está unido covalentemente a un grupo funcional de dicha estructura.7 Los ligantes actúan en muchos casos como espaciadores disminuyendo en cierta medida la influencia de factores propios de la resina, como efectos estéricos o electrónicos (figura I.9).

image

FIGURA I.9. Ligantes en fase sólida.

Como ya hemos visto, la resina de Merrifield es una derivatización simple de la cadena de poliestireno, siendo el ligante un grupo clorometilo. Sin embargo, no siempre este ligante cumple con los requerimientos de selectividad de las reacciones en fase sólida. Por ejemplo, en ciertos casos puede que el ligante de la resina de Merrifield no sea suficientemente estable durante la síntesis o sea tan estable que las condiciones de ruptura sean tan enérgicas que afecten la estructura de la molécula que se está tratando de sintetizar.

Una de las maneras de obtener mayor versatilidad es la inclusión de ligantes que se pueden separar del producto final bajo diferentes condiciones de reacción. Una alternativa a la resina de Merrifield es el ligante conocido como resina de Wang.8 Este ligante requiere condiciones más suaves para la separación del soporte sólido: TFA en una concentración variable de entre 10 y 50% en diclorometano. Claro está que no puede usarse Boc como protector del grupo amino ya que, como vimos en la figura I.6, la eliminación de este protector se realiza también con TFA, por lo que, de usar la misma estrategia de protección, se separaría la resina en cada ciclo de incorporación de aminoácidos. Por ello es que con la resina de Wang se debe usar la llamada estrategia Fmoc. El Fmoc (fluorenilmetoxicarbonil) es un protector de aminas que, a diferencia de los otros carbamatos, se elimina en medio básico (piperidina 20% en dimetilformamida). Por lo tanto, cada ciclo de desprotección del grupo amino se realiza en medio básico sin afectar la unión a la resina (figura I.10).

image

FIGURA I.10. Esquema de la estrategia resina de Wang-Fmoc.

Es fundamental para la elección del ligante conocer las condiciones de ruptura y la compatibilidad de las mismas con la estructura sintetizada en fase sólida. Las características estructurales del ligante son las que determinan las condiciones de ruptura. La acidólisis de la unión bencílica C-O será más fácil cuanto más estabilizado esté el carbocatión bencílico generado en esa acidólisis (figura I.11).

Los grupos dadores de electrones que sustituyen el anillo aromático incrementan la estabilidad del carbocatión, por lo tanto, ligantes con tales grupos serán más sensibles a ácidos. Por ello la resina de Wang, que tiene un grupo alcoxi en posición para y la resina Sasrin que, además, tiene un metoxi en posición orto, son más lábiles a ácidos que la resina de Merrifield. Por el contrario, los grupos atractores de electrones que sustituyen el anillo aromático disminuyen la estabilidad del carbocatión y ligantes con tales grupos son, por lo tanto, más estables a medio ácido. Éste es el caso de la resina PAM que, por tener una funcionalidad amida en posición para, es 100 veces más estable a condiciones acídicas que la resina de Merrifield (figura I.11).

image

FIGURA I.11. Efecto de las características estructurales del ligante en la ruptura acidolítica.

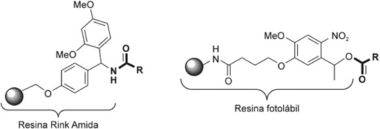
Otras resinas de uso común en síntesis orgánica en fase sólida son la resina de Rink Amida, que es la preferida para la síntesis de amidas primarias, y las resinas de tipo fotolábil que, como su nombre lo indica, son estables frente a una variedad de condiciones pero pueden separarse del compuesto objetivo por acción de la luz ultravioleta (figura I.12).9

El grupo ácido carboxílico no es el único que puede usarse para “anclar” una estructura al soporte sólido. Un ejemplo es el acoplamiento por grupos hidroxilos utilizando resinas funcionalizadas con grupos dihidropirano (figura I.13). Alcoholes primarios y secundarios se unen a la resina y pueden separarse bajo condiciones acídicas suaves.

image

FIGURA I.12. Otras resinas de uso común en síntesis orgánica en fase sólida.

En otros casos, si bien el grupo de anclado es un ácido carboxílico, otro es el grupo funcional obtenido cuando se produce la liberación de la resina. Los ligantes del tipo Weinreb (N-alcoxi-N-alquilaminas) (1 y 2) (figura I.14) al ser acilados, por ejemplo con un aminoácido, producen las N-alcoxi-N-alquilamidas soportadas (3 y 4), las cuales tienen la particularidad de generar aldehídos o cetonas al producirse la separación de la resina con agentes reductores (hidruro de diisopropilaluminio, DIBAL), o alquilantes (reactivo de Grignard).

En la actualidad existe una amplia variedad de ligantes disponibles comercialmente.10 Éstos tienen diferentes características estructurales propias de las necesidades que fueron surgiendo a medida que la química orgánica en fase sólida fue adquiriendo popularidad y comenzó a ser aplicada a un número más diverso y heterogéneo de reacciones orgánicas. Resinas (ligantes) no mencionadas hasta el momento irán surgiendo en las distintas aplicaciones de la química en fase sólida que se verán a lo largo de esta monografía.

image

FIGURA I.13. Ligantes para acoplamiento al soporte sólido a través de grupos hidroxilos.

image

FIGURA I.14. Ligantes tipo Weinreb.

VENTAJAS DE LA SÍNTESIS EN FASE SÓLIDA

En resumen, la síntesis orgánica en fase sólida es una metodología con ciertas ventajas frente a la síntesis clásica en fase líquida. Diversos factores influyen en la popularidad que ha adquirido esta técnica:

Química fácil. Las reacciones pueden estar completas en sólo tres pasos: adición de reactivos, filtración y lavado de la resina.

Eliminación del proceso de purificación. Para cada paso de una síntesis en múltiples etapas, la única purificación necesaria es un lavado de la resina; sólo el producto final de la síntesis necesita ser purificado.

Se utilizan altas concentraciones de reactivos. Esto favorece la formación de los productos y por lo tanto lleva a mejores rendimientos.

Manejo más seguro de sustancias tóxicas. Al estar unida a un soporte sólido una molécula que en solución es altamente tóxica puede manejarse con mayor seguridad hasta que la reacción finaliza.

Fácil automatización. La automatización en síntesis en fase sólida es más sencilla debido a la simplicidad del procedimiento y el fácil manejo de las resinas.

image

FIGURA I.15. Comparación de las reacciones intramoleculares en solución y en fase sólida.

Posibilita la utilización de solventes de alto punto de ebullición. A diferencia de la química tradicional en solución, los solventes en las reacciones en fase sólida se eliminan por filtración y no mediante evaporación. Por lo tanto, solventes de alto punto de ebullición como dimetilsulfóxido o dimetilformamida se pueden usar sin problemas.

Facilita reacciones químicas dificultosas. Debido al aislamiento de los sitios de reacción se crea un ambiente de “seudodilución”, esto favorece las reacciones intramoleculares (i.e., ciclaciones) en detrimento de las reacciones intermoleculares (figura I.15).

Es más amigable con el medio ambiente que la química en solución. Disminuye el volumen de desechos al reducir la cantidad de solvente y fase estacionarias (sílica gel) que se utilizan, ya que las purificaciones por extracción líquido-líquido o columnas cromatográficas son mínimas.

1 Para bibliografía general de síntesis orgánica en fase sólida, véase F. Zaragoza Dörwald, Organic Synthesis on Solid Phase, 2a ed., Wiley-VCH, Weiheim, 2002; K. Burguess, Solid Phase Organic Synthesis, Wiley-Interscience, Nueva York, 2000; A. W. Czarnik, Solid-Phase Organic Synthesis, Wiley-Interscience, Nueva York, 2001, y D. Obrecht y J. M. Villalgordo, Solid-Supported Combinatorial and Parallel Synthesis of Small-Molecular-Weight Compound Libraries, Pergamon Press, Oxford, 1998.

2 R. B. Merrifield, “Solid Phase Peptide Synthesis”, J. Am. Chem. Soc., 85: 2149-2154, 1963, y “Solid Phase Synthesis”, Science, 232 (4748): 341-347, 1986.

3 A. R. Vaino y K. D. Janda, “Solid-Phace Orgnic Synthesis: A Critical Understanding of the Resin”, J. Comb. Chem., 2: 579-596, 2000.

4 B. Yan, “The Properties of Resin Supports and their Effects on Solid-Phase Organic Synthesis”, Comb. Chem. High Throughput Screening, 1 (4): 215-229, 1998.

5 S. A. Kates, B. F. McGuinness, C. Blackburn, G. W. Griffin, N. A. Solé y F. Albericio, “ ‘High-Load’ Polyethylene Glycol-Polystyrene (PEG-PS) Graft Supports for Solid-Phase Synthesis”, Biopolymers, 47 (5): 365-380, 1998.

6 P. H. Toy y K. D. Janda, “New Supports for Solid-Phase Synthesis: Development of Polystyrene Resins Containing Tetrahydrofuran Derived Cross-Linkers”, Tetrahedron Lett., 40: 6329-6332, 1999.

7 F. Guillier, D. Orain y M. Bradley, “Linkers and Cleavage Strategies in Solid-Phase Organic Synthesis and Combinatorial Chemistry”, Chem. Rev., 100: 2091-2157, 2000, e I. W. James, “Linkers for Solid Phase Synthesis”, Tetrahedron, 55: 4855-4946, 1999.

8 S. Wang, “p-Alkoxybenzyl Alcohol Resin and p-Alkoxybenzyloxycarbonylhydrazide Resin for Solid Phase Synthesis of Protected Peptide Fragments”, J. Am. Chem. Soc., 95 (4): 1328-1333, 1973.

9 C. Blackburn, F. Albericio y S. A. Kates, “Resins and Linkers for Solid-Phase Synthesis of Small Mollecules”, Recent Res. Devel. in Organic Chem., 1: 477-497, 1997.

10 Principales proveedores internacionales de insumos para síntesis en fase sólida: Novabiochem (subsidiaria de Merck KGaA), Polymer Laboratories y Sigma-Aldrich.