Capítulo 1
Instalaciones caloríficas. Principios de funcionamiento y documentación técnica
Contenido
2. Física de fluidos y termodinámica
4. Tipología de las instalaciones según la generación, distribución y emisión de calor
5. Materiales empleados en el montaje de instalaciones caloríficas
7. Elaboración de esquemas de principio, de circuitos hidráulicos y de control
10. Elaboración de informes técnicos: formatos, normas, métodos
En las sociedades industrializadas, la tecnología del calor empleada en obtener confort en locales públicos y privados, con las condiciones de temperatura y humedad programadas, ya es una realidad.
La física aplicada a las instalaciones caloríficas, como son la mecánica de fluidos y la termodinámica, proporcionan las bases para diseñar y construir redes de distribución de fluidos caloportadores hacia las estancias que se pretenden calentar, tanto para calefacción y climatización, como para el consumo del agua caliente sanitaria producida en una unidad de calentamiento, como es la caldera.
Dependiendo de las necesidades del consumidor, las instalaciones caloríficas pueden variar por el tipo de fluido, pudiendo ser líquido o gas. La energía interna de la materia y de sus cambios de fase se aprovecha para conseguir climatizar sistemas para refrigeración y para calefacción.
El buen técnico deberá saber interpretar los símbolos incluidos en los planos de diseño de las instalaciones caloríficas, para poder llevar a la realidad las representaciones gráficas de las redes de distribución, elementos generadores y emisores del calor.
Como documentación necesaria en la implantación y mantenimiento de las instalaciones caloríficas se encuentran los manuales, gráficos, catálogos y la, siempre obligada, normativa necesaria para conseguir seguridad en la construcción y en el consumo eficiente de la energía.
En las instalaciones caloríficas intervienen dos partes de la física como son la mecánica de fluidos y la termodinámica que, aplicadas de manera conjunta, constituyen un sistema muy útil para transportar líquidos calentados, para las instalaciones de calefacción, y gases tratados con las leyes de los cambios de la materia, para las instalaciones de climatización.
En su definición, un fluido es toda sustancia que puede fluir, adaptándose a la forma del recipiente que lo contiene. Los fluidos pueden ser gaseosos, líquidos o semisólidos (pastosos).
La presión que ejerce un fluido sobre el recipiente es siempre perpendicular a la pared, en un depósito que lo acumula (estática) o en un tubo por donde se desplaza (dinámica).
Fluido acumulado en un depósito (estática) y desplazándose por una tubería (dinámica)

El teorema fundamental de la hidrostática (líquidos en reposo) dice: “la diferencia de presión entre dos puntos de un líquido en reposo, bajo la acción de la gravedad, es igual al peso de una columna líquida que tiene por base la unidad de superficie o sección y por altura la diferencia de alturas entre los dos puntos considerados”.
La presión depende de la altura de la columna de líquido

Siendo p la presión en cada punto (A o B), ρ la densidad del líquido, g la aceleración de la gravedad y h la diferencia de alturas (o profundidad) entre los puntos A y B.
El teorema de Pascal dice que “la presión ejercida en un punto de un líquido se transmite íntegramente a todos sus puntos”.
Como aplicación práctica de este teorema se tiene la prensa hidráulica, en la que las fuerzas aplicadas y transmitidas son directamente proporcionales a las superficies de los émbolos.
La diferencia de sección facilita la elevación de grandes cargas

Estudia los fluidos en movimiento, ya sean gaseosos o líquidos.
Existen dos formas de estudiarlos, dependiendo del régimen en que se encuentren:
La consideración de un régimen laminar o turbulento se debe estudiar con el “número de Reynolds”, que se verá más adelante.
La ley de continuidad de la corriente de un fluido relaciona la velocidad de dicho fluido y la sección del canal o tubería por donde se desplaza, siendo este constante en cualquier punto.
La velocidad de un fluido varía con la sección por donde se desplaza

Con esta ley, se puede obtener el gasto másico G (o caudal Q) de un fluido gaseoso o líquido, relacionando la velocidad y la sección.
“El caudal Q es el volumen de fluido que pasa por la sección S transversal en la unidad de tiempo t”, y se mide en metros cúbicos por cada segundo (m3/s).
El caudalímetro es el instrumento utilizado para medir el caudal. Viene dado por la expresión:

Siendo v la velocidad y S la sección transversal de la tubería por donde discurre el fluido, ya sea líquido o gaseoso.
La presión del fluido también es una variable muy importante en el estudio de las instalaciones caloríficas, ya que en cada caso es distinto. El gas se puede comprimir, con lo que es posible aprovechar esta característica para obtener mayor o menor presión en el interior del recipiente que lo contiene. Por otro lado, el líquido no se puede comprimir.

Actividades
1. Explique brevemente por qué una manguera de riego gana en velocidad de fluido desde el diámetro del tubo hasta la boca de salida.
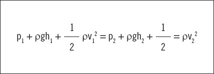
El teorema de Bernoulli relaciona las presiones (o alturas relativas) de un fluido: “en un fluido incompresible y no viscoso con movimiento en régimen estacionario bajo la acción de la gravedad, la suma de las alturas geométrica, piezométrica y cinética es constante para los diversos puntos de una línea de corriente”.
El fluido, debido a su presión, asciende por la derivación vertical

Siendo la Cota Z la referencia de altura, h1 y h2 las alturas geométricas, hP1 y hP2 las alturas piezométricas y hC1 y hC2 las alturas cinéticas de cada punto 1 y 2 respectivamente.
Para obtener la energía total del fluido, se deben sumar los términos de energía de volumen o presión (p), energía potencial de posición y energía cinética de movimiento, en ese punto.
Como estipula el teorema de Bernouilli, si se igualan las energías en los dos puntos 1 y 2 considerados se obtiene:

Si se representan las energías de cada término, que corresponden a cada unidad de volumen, y se dividen por el producto de la densidad del líquido ρ por la aceleración de la gravedad g, se obtiene:

La presión hidrodinámica pH se obtiene al sumar la presión estática p y la energía cinética de la unidad de volumen.

Finalmente, el teorema de Bernouilli, para la dinámica de fluidos, dice: “en dos puntos de la misma línea de corriente de un fluido en movimiento, bajo la acción de la gravedad, se verifica que la diferencia de las presiones hidrodinámicas es igual al peso de una columna de fluido que tiene por base la unidad de superficie y por altura la diferencia de alturas entre los dos puntos”.

Recuerde
El caudal Q es el volumen de fluido que pasa por la sección S transversal en la unidad de tiempo t, y se mide en m3/s.
La dinámica de los fluidos reales, utilizados en las instalaciones de transporte, varía, ya que influyen algunos factores como pueden ser la viscosidad y el rozamiento, que generan la denominada “pérdida de carga”.
La viscosidad es la propiedad que tienen los fluidos, que caracteriza su resistencia a fluir, debido al rozamiento interno entre sus moléculas.
En el régimen turbulento, el número de Reynolds R relaciona la velocidad v de un fluido con su velocidad característica v0, al circular por un tubo.

Siendo ρ la densidad del fluido, r el radio del tubo y η el coeficiente de viscosidad.
Está comprobado experimentalmente que un régimen turbulento se presenta cuando el número de Reynolds es mayor de 4.000. Para el habitual régimen laminar, el número de Reynolds se sitúa por debajo de 2.000, existiendo una zona de transición entre los valores de R entre 2.000 y 4.000.
El instrumento que se utiliza para medir la presión de un fluido (gas o líquido) contenido en un recipiente es el manómetro.

El manómetro y la bomba hidráulica son elementos básicos en las instalaciones de fluidos.
La bomba hidráulica es la máquina que se utiliza para dotar de movimiento a un líquido, en la operación de transporte por las tuberías en la distribución y/o para elevarlo desde un punto hasta otra altura superior (depósito acumulador).

Actividades
2. Dibuje un esquema en el que se representen las diferencias de presión entre la manométrica, barométrica, absoluta y atmosférica.

Aplicación práctica
Es necesaria la medición de velocidad del fluido en una zona de la instalación industrial, ya que se pretende realizar una reforma en el transporte. El líquido que discurre es aceite con un gasto másico o caudal de 0,000567 metros cúbicos por cada segundo (m3/s).
Calcule la velocidad anterior y posterior del fluido en una reducción de sección de Ø20 mm a Ø14 mm.
SOLUCIÓN
Sin entrar muy a fondo en la mecánica de fluidos, se pueden calcular las velocidades de un caudal fluido para distintos diámetros de la tubería.
Se sabe que el caudal es Q = v · S
La termodinámica es la parte de la física en la que se estudian las relaciones entre el calor y las restantes formas de energía. Utiliza las propiedades de los cambios de fase de la materia para obtener calor o frío, mediante el empleo de una energía mecánica externa al sistema.
Se van a desarrollar una serie de conceptos básicos como son la dilatación, la ecuación de los gases ideales, los cambios de estado de la materia, la energía térmica, la transmisión de calor y los tipos de sistemas, para enunciar los principios de la termodinámica y sus aplicaciones para la climatización en instalaciones de frío y calor, en la máquina frigorífica y en la bomba de calor respectivamente.
Como concepto fundamental, “el calor es una forma de energía que se transfiere de un cuerpo a otro debido a una diferencia de temperatura”.
La dilatación es el aumento de volumen que experimenta una sustancia sólida, líquida o gaseosa al incrementarse su temperatura, debido a la presencia de calor.
El calentamiento de un material sólido produce una expansión de las moléculas, y el espacio entre ellas, generando unas fuerzas de tracción que, si se encuentran impedidas por los apoyos se transforman en una compresión interna en él.
En un líquido, las leyes de la dilatación son las mismas, en cuanto al aumento de volumen, pero en el caso muy particular del agua, de 0 °C (grados centígrados) a 4 °C el volumen disminuye con lo que aumenta su densidad, disminuyendo esta y aumentando su volumen desde los 4 °C en adelante.
Un fluido calentado aumenta de volumen

El calor específico es la cantidad de calor que absorbe o cede una unidad de masa, cuando su temperatura varía en 1 °C. Con esto se puede obtener la capacidad calorífica de una sustancia, que es la cantidad de calor necesaria para elevar 1 °C su temperatura.
La capacidad calorífica C de una sustancia, medida en calorías, se obtiene relacionando su masa m y su calor específico c.

Una caloría es la cantidad de energía necesaria para elevar 1 °C una cantidad de 1 g de agua, en condiciones de presión atmosférica al nivel del mar, y pasando de 14,5 a 15,5 °C.
Un gas ideal (teóricamente perfecto) es un conjunto de partículas puntuales que tienen desplazamiento aleatorio y que no interactúan entre ellas. Como ejemplos de gases, que se consideran ideales, se tienen el oxígeno, el hidrógeno y el nitrógeno, dentro de unas tolerancias razonables.
La termodinámica se basa en las propiedades de los gases ideales, para pasar de unas condiciones iniciales de presión p0, volumen V0 y temperatura T0 a otras condiciones (p1, V1, T1), de las cuales se desconoce una de ellas.
La ecuación que las relaciona es:

Los cambios físicos que se producen en la materia al pasar por los tres estados que esta tiene, como son el sólido, el líquido y el gaseoso, pueden ser aprovechados en la termodinámica. La toma y cesión de calor necesaria en la climatización de frío y calor se obtienen de los cambios de materia en los fluidos líquidos y gaseosos, al vaporizarse y condensarse.
Se denominan fluidos a los materiales que se adaptan al recipiente que los contiene. En este caso, además de los líquidos y los gases, un cuarto estado de la materia como es el semisólido o pastoso, también tiene esta capacidad, aunque debido a sus uniones moleculares lo hace a mucha menor velocidad.
Cambios de estado en la materia

Climatizar es la operación que se realiza para adecuar de manera artificial la temperatura ambiente de una estancia, local o habitáculo, cuyo concepto abarca tanto la refrigeración para bajar la temperatura, como la calefacción, con la que se persigue elevar el valor de la temperatura en el medio.
El ciclo termodinámico, que incluye la compresión del fluido frigorígeno (en forma de gas), actúa sobre este enfriándolo para que cambie a líquido, absorbiendo con ello el calor del ambiente. Existe otro método como es el de absorción, que absorbe el fluido frigorígeno en forma de vapor durante su transformación del estado líquido al gaseoso. El bromuro de litio es la sustancia que se utiliza en este segundo método.
La energía térmica, o calorífica, se viene utilizando desde los orígenes del hombre. Las primeras aplicaciones fueron calentarse al fuego durante los crudos inviernos de los primeros homínidos, lo cual hoy en día se ha transformado en el confort que proporciona la calefacción en los hogares.
Existen tres formas de transmisión de energía térmica (calor), diferenciadas según el medio por el que se realice:
Q = I2 · R · t
En un circuito eléctrico cerrado (con tensión) se genera un calor (Q) al paso de una corriente eléctrica de intensidad (I), por una resistencia (R) y durante un espacio de tiempo (t).

Sabía que…
Las aplicaciones actuales utilizan la transmisión de calor por radiación y convección combinadas.
Un climatizador portátil calienta una estancia o local mediante un ventilador de aire que distribuye el calor generado en una estufa eléctrica.

El climatizador utiliza la radiación y la convección.
En termodinámica, se consideran dos posibles sistemas, los abiertos y los cerrados. Existe, además, un tercer sistema particular del cerrado que se denomina aislado.
Un sistema abierto SÍ puede intercambiar materia y energía con el exterior.
Un sistema cerrado SOLO puede intercambiar energía con el exterior.
Un sistema aislado NO puede intercambiar ni materia ni energía con el exterior.
Ejemplos de sistemas termodinámicos


Actividades
3. Si usted está cocinando en la olla exprés un alimento que está calentado en una placa vitrocerámica eléctrica, ¿qué tipo de sistema tiene y qué tipo de transmisión de calor hará que el alimento se cocine?
“La energía ni se crea ni se destruye, solo se transforma”.
En un sistema abierto o cerrado, la cantidad de calor o energía que recibe el sistema Q es igual al trabajo realizado W más la variación de su energía interna ΔE (calor o frío).
Q = W + ΔE
La ΔE es la diferencia entre la energía final Ef y la energía inicial Ei.
ΔE = Ef – Ei = Q - W
El trabajo y el calor se encuentran relacionados

W = Q + ΔE
Existen, además, dos afirmaciones esenciales en la termodinámica:
Es imposible construir una máquina térmica de funcionamiento ininterrumpido, capaz de producir trabajo mecánico sin un consumo equivalente de energía calorífica.
Si partiendo de un estado inicial se llega al mismo estado final, la relación entre el calor comunicado al sistema y el trabajo desarrollado por él, es una cantidad constante.

“Todos los procesos termodinámicos se producen con pérdida de la energía disponible”.
Los procesos espontáneos que se producen en la naturaleza no son reversibles, y para conseguir el sentido inverso siempre es necesario el aporte extra de energía.
En la climatización (frío o calor), ya sea por compresión o por absorción, se utiliza el concepto de transmisión de calor, correspondiente al segundo principio de la termodinámica.
Si dos cuerpos (sólidos, líquidos o gaseosos) que se encuentran a distinta temperatura, se ponen en contacto, SIEMPRE el más caliente (o de mayor Tª) cede calor al más frío (o de menor Tª). Si el contacto entre los dos cuerpos no se detiene, la cesión de calor se efectuará hasta que los dos cuerpos se encuentren a la misma temperatura.
Es todo dispositivo que transforma la energía térmica en trabajo mecánico. Se trata de un sistema termodinámico en el que se realiza un ciclo cerrado en múltiples ocasiones.
Por el segundo principio de la termodinámica, es imposible que exista una transformación cuyo resultado final sea convertir el calor extraído de una fuente en trabajo. Es necesario el aporte de energía, habitualmente mecánica.
Tiene la capacidad de extraer calor a baja temperatura en un sistema termodinámico, utilizando un compresor que lo envía hacia el sistema caliente externo.
En la máquina frigorífica se tienen dos fases muy importantes:
El calor que se ha extraído calienta el fluido frigorígeno y lo evapora.
Esquema de la máquina frigorífica

El ciclo de la refrigeración tiene una nueva aplicación para conseguir que el local a climatizar se pueda calentar.
La tecnología de la bomba de calor utiliza una válvula inversora de 4 vías que permite que el evaporador se transforme en condensador y que el condensador se transforme en evaporador. De esta forma, en lugar de extraer calor del local por medio del fluido frigorígeno frío en el evaporador, toma el calor del exterior y lo aporta al interior del local.
El proceso es el mismo que el ideado para la refrigeración pero con la adición al circuito de la válvula inversora, situada a la salida del compresor, la cual cambia el sentido de circulación del fluido frigorígeno.
Esquema de la bomba de calor

En general se puede decir que los sistemas de climatización o aire acondicionado (A. A.) pueden adecuar el ambiente de un local, enfriándolo en la estación calurosa mediante la extracción del calor interior, o calentándolo tomando calor del ambiente externo incluso a bajas temperaturas.
La tecnología de la bomba de calor permite el funcionamiento a lo largo de todo el año.

Aplicación práctica
En su currículum indicó, antes de entrar en la empresa de instalaciones caloríficas, que realizó un curso de diseño gráfico.
El gerente le ha elegido para realizar unos bocetos en los que se indiquen, de manera sencilla, el funcionamiento de un equipo de climatización con bomba de calor, para ser incluidos en el catálogo de sus productos.
Realice dos esquemas, uno para el funcionamiento en climatización fría o refrigeración y otro en climatización caliente o calefacción.
SOLUCIÓN
El A. A. tradicional funciona como una máquina frigorífica solo enfriando el ambiente del local, mientras que nuevas tecnologías de A. A. con bomba de calor permiten su funcionamiento durante todo el año, tanto en refrigeración como en calefacción.

Todos los elementos que componen una instalación calorífica cumplen su función a la hora de calentar el fluido, moverlo, distribuirlo y emitir el calor que porta, siempre en las condiciones adecuadas de seguridad para las personas.
En las instalaciones caloríficas, se combinan los fluidos y la termodinámica para conseguir que una estancia sea calentada hasta la temperatura previamente programada.
Una primera clasificación de los elementos que componen una instalación calorífica es:
Se realiza el repaso de todos y cada uno de los elementos que, combinados, proporcionan calor a las estancias, dependiendo de las diferentes tecnologías empleadas.
Es el equipo utilizado para transferir la energía calorífica procedente de la combustión controlada de un combustible de tipo sólido, líquido o gaseoso, al denominado fluido caloportador (líquido o gaseoso) que se distribuye por la red dispuesta hacia los locales a calentar.
En función de la presión de funcionamiento, la caldera puede ser de alta, media o baja presión; en función de la presión en el hogar, presurizadas, atmosféricas o en depresión; en función del material con el que están construidas, de fundición, de chapa de acero, o de metales ligeros; y en función del principio de diseño, acuotubulares o pirotubulares.
Es el equipo destinado de forma específica a producir la reacción exotérmica de la combustión (fuego) y se clasifica inicialmente en función del combustible: gaseoso, líquido o sólido.
Dependiendo del funcionamiento pueden ser del tipo todo-nada, todo-poconada, modulante, manual, semiautomático o automático; en función de los hogares donde se instalan, para hogares en depresión, hogares atmosféricos u hogares presurizados; en función de su forma constructiva, compactos o disgregados; en función de la duración del servicio, intermitente o permanente; y en función de la admisión de aire, atmosférico o con ventilador.
Es el elemento terminal utilizado para evacuar los gases calientes, que se generan por la quema de combustibles sólidos, líquidos o gaseosos, en las calderas, quemadores, estufas, fogones, hornos, etc., hacia la atmósfera exterior del local.
Habitualmente son verticales, con varias aberturas, y protegidas de la lluvia en su parte superior. Pueden estar construidas de diferentes materiales cerámicos, metálicos o combinación de estos.

Las chimeneas deben tener una altura mínima por encima de la cubierta.
Es el canal que une el elemento generador de calor por combustión y la chimenea que expulsa los humos a la atmósfera. Debe ser lo más recto posible y construirse, al igual que la chimenea, de material cerámico, metálico o combinación de estos.
Es un dispositivo diseñado para tomar la energía radiante del Sol y acumularla para su empleo como energía calorífica en las instalaciones caloríficas con fluidos líquidos.
Existen colectores solares térmicos de baja temperatura (hasta 35 °C), en aplicaciones básicas de climatización de piscinas, duchas al aire libre, secaderos de productos y calefacción de invernaderos, de media temperatura (hasta 65 °C) para calentamiento de agua caliente sanitaria (ACS) y calefacción de viviendas y locales, y de alta temperatura (industriales de hasta 120 °C) que permiten la generación de vapor a partir del agua.

Los colectores solares acumulan energía calorífica.
Es el dispositivo empleado para transferir energía entre dos medios, por conducción o convección.
Existen de contacto directo, en los que los fluidos se mezclan completamente, y los de contacto indirecto, donde la mezcla es mínima. Entre los primeros se encuentran aplicaciones en torres de refrigeración y calentadores de vapor; entre los indirectos, los recuperadores de energía, los de placas, de doble tubo y multitubulares.
En la vida cotidiana, un radiador de calefacción, un frigorífico o un calentador de agua son intercambiadores de calor.
Es un equipo que se emplea para mantener la humedad relativa constante en el ambiente de un local climatizado (frío o calor) que se encuentra aislado. El humidificador convierte en vapor el agua que contiene en su depósito acumulador.
Los tipos de humidificadores son:
Los ambientes en los locales calefactados, en ocasiones se encuentran saturados por la humedad. Por ello es necesaria en determinados casos la utilización de secadores, constituidos por un rotor de material desecante de cloruro de litio.
Al forzar el paso del aire a través del rotor, las partículas húmedas quedan retenidas, proporcionando un secado artificial de manera continua.
Son dos corrientes las que pasan de forma simultánea por el rotor: la primera proporciona aire seco y la segunda, de aire caliente, retira el exceso de agua en el rotor por evaporación.
Es un equipo que acumula agua caliente en un depósito donde entran el agua fría de la red y el agua de retorno del circuito, y desde donde se reparte el ACS hacia los puntos de consumo.
Tras la generación del calor necesario en la caldera centralizada, utilizada para servir agua caliente sanitaria a varios propietarios, como en la caldera individual empleada por cada uno de los propietarios, la instalación dispone de depósitos acumuladores a partir de los cuales se reparte hacia los puntos de consumo en los denominados “locales húmedos” de cada vivienda.
Existen varios tipos de equipos acumuladores de ACS:

Existen diferentes calentadores para ACS: a gas y eléctricos.
La legionela es una bacteria que se puede encontrar en las unidades de tratamiento de aire como sistemas de climatización y torres de refrigeración. También es posible encontrarla en elementos terminales de las instalaciones de ACS, aguas termales, fuentes decorativas, y en general en aguas estancadas.
El equipo de prevención contra la legionela más actual es el que utiliza rayos ultravioleta (UV), que emite sobre los potenciales focos de crecimiento, sobre todo en las zonas más sensibles al cambio de temperatura y humedad, verdaderos puntos de riesgo.
La legislación actual es estricta en cuanto al cumplimiento del Real Decreto 865/2003, de 4 de julio, por el que se establecen los criterios higiénico-sanitarios para la prevención y control de la legionelosis, y el Real Decreto 1027/2007, de 20 de julio, por el que se aprueba el Reglamento de Instalaciones Térmicas en los Edificios (RITE).

Actividades
4. Busque en internet las normas de criterios higiénico-sanitarios para la prevención de la legionelosis y el RITE, y guárdelas en su ordenador para futuras consultas.
Es el equipo industrial encargado de distribuir y elevar el fluido líquido hasta una altura determinada, utilizado en las instalaciones de fontanería y ACS. Existen diferentes tipos de bombas hidráulicas como son las centrífugas y las de paletas móviles que se encuentran unidas al rotor, del motor eléctrico que lo hace funcionar. En la carcasa se encuentran los elementos de apoyo del rotor, las bridas de unión, el eje y los rodamientos.
Equipo industrial que se encarga de dotar de movimiento al fluido líquido utilizado en las instalaciones de calefacción, cuando el diseño no es por gravedad. Al igual que la bomba hidráulica, dispone de unas paletas que se mueven gracias al motor eléctrico que tiene acoplado en el eje.

El circulador genera el movimiento del fluido en los circuitos de calefacción. (© Fotografía: Wilo se Vía Web - CC BY-SA 3.0)
Es un elemento que se utiliza para absorber el incremento de volumen que experimenta el fluido caloportador, y que lo devuelve al circuito cuando este se enfría. Se acopla directamente a la caldera, sin llave de paso, como medida de seguridad en medias y altas presiones.
Es el lugar destinado a acumular el combustible que consume la caldera para calentar el fluido caloportador.
Existen depósitos para combustibles sólidos como el carbón, un lugar en el interior de los edificios destinado al almacenaje, denominado carbonera, en unas condiciones especiales que no permitan la combustión espontánea.
Para combustibles líquidos, el depósito de material metálico, se puede encontrar en el exterior del edificio, ya sea al aire libre o enterrado, o en el interior del edificio junto a la sala de máquinas o calderas, en disposición horizontal o vertical, e incluso en forma de bidones aislados.

Además de enterrados, los depósitos de combustible pueden estar sobre el suelo.
Es el equipo basado en el proceso de refrigeración de ambientes, pero que funciona en sentido contrario, aportando calor al local a climatizar. Consta de evaporador, compresor, condensador y válvula de expansión. El ciclo termodinámico toma frío del exterior y aporta calor al interior.

Actividades
5. Dibuje el recorrido del ciclo termodinámico de la bomba de calor, con los elementos compresor, evaporador, condensador y válvulas de expansión y de 4 vías.
Son elementos industriales destinados a controlar las variables que intervienen en las instalaciones caloríficas para calefacción, ACS y climatización por bomba de calor. Se debe controlar la presión del fluido con el manómetro, la temperatura con el termómetro y la velocidad y caudal con el rotámetro.
Es el elemento que realiza el control del caudal de una instalación neumática o hidráulica. Su funcionamiento está basado en el electromagnetismo, mediante un solenoide con bobina que se desplaza linealmente para permitir o no el paso del fluido, ya sea este gaseoso o líquido.

La electroválvula permite un control electrónico a distancia.
Es un instrumento encargado de realizar las mediciones de presión de fluidos líquidos o gaseosos en las distribuciones de calefacción y en recipientes cerrados. Existen de varios tipos, desde los de dos ramas abiertas y truncados, hasta los metálicos o tipo Bourdon.
Son instrumentos encargados de detectar las características de un fluido en el interior de una instalación de fluidos, ya sea en distribución o almacenaje, y para gases y líquidos. Pueden detectar la posición de otros elementos de las instalaciones, la presión, velocidad, capacidad, etc.
Son los elementos terminales que se encargan de emitir el calor al local donde se encuentran instalados.
El radiador de calefacción es el elemento utilizado para transferir el calor del fluido caloportador que lo atraviesa. Se realiza la transmisión de calor por convección o por radiación y se construyen de hierro fundido o chapa de aluminio.
El fan-coil, en español ventiloconvector, transfiere el calor aportado por el fluido caloportador gracias a un ventilador que lo distribuye por convección.

Los equipos fan-coil son muy utilizados en edificios de oficinas.
Para la climatización calorífica, se utiliza la bomba de calor en el ciclo inverso de la refrigeración, por lo que el elemento que aporta calor a la estancia es el condensador.
En las instalaciones industriales de todo tipo, la válvula es el dispositivo encargado de regular el paso de sólidos, líquidos o gases, que se encuentran circulando por el canal de distribución, en la entrada a los aparatos terminales y a la salida de los que generan o transforman la energía que se consume.
Existen, en general, llaves de paso, de regulación, de derivación y de vaciado (grifo), con características determinadas como son las de compuerta, de bola, de retención, etc.
Son los elementos lineales encargados de distribuir el fluido caloportador calentado en la caldera, hacia los elementos terminales como son los radiadores de calefacción. Se construyen de diferentes materiales metálicos o polímeros plásticos (para un máximo de temperatura), siendo circulares con formas determinadas para unirlos unos a otros.

Importante
La elección del material de la tubería de distribución dependerá del fluido, condiciones climáticas y facilidad de manejo y unión por soldadura de sus partes.
Son piezas especialmente diseñadas para realizar las uniones y derivaciones en las redes de distribución de fluidos caloportadores. Se tienen codos de 30°, 45°, 90°, tés a 90° y racores de unión de tubos de distribución a elementos generadores de calor (caldera) y terminales de la instalación (radiadores).
Es el elemento que se encarga de separar el aire que se encuentra unido al líquido que circula por las instalaciones de calefacción. Se puede encontrar en cada uno de los terminales radiadores, y en las columnas o montantes de elevación de fluido líquido caloportador.
Es un elemento muy importante para conseguir un buen funcionamiento de la instalación, y no se debe olvidar nunca su colocación.

El purgador, a pesar de ser pequeño, es esencial en cualquier instalación de calefacción.
Al igual que en las tuberías de distribución, los canales realizan el reparto del aire calentado en la bomba de calor hacia los locales a calefactar. Habitualmente son rectangulares, aunque en la actualidad también se montan de chapa en forma de tubos. Es importante que se encuentren aislados o calorifugados, ya que en las largas distribuciones las pérdidas pueden ser considerables.
En los tendidos de tuberías de calefacción, los que no se encuentran empotrados en las paredes deben discurrir por los pasillos de acceso a los locales. Los elementos de fijación están constituidos por bridas con tornillo que se unen a los paramentos verticales (paredes) u horizontales (techos), de forma segura para que no interrumpan la circulación de las personas en los locales.
Habitualmente los canales de aire se encuentran situados en la parte alta de los pasillos de distribución y locales, por lo que si son rectangulares o circulares, las bridas y soportes metálicos deben estar unidos firmemente con tornillos a los techos.

Los soportes de los conductos deben estar perfectamente anclados a sus soportes.
Para evitar las pérdidas del agua caliente en su circulación, ya que en ocasiones puede ser de longitud elevada, se deberán montar con materiales aislantes, y con soportes dilatadores o liras de dilatación para absorber los movimientos producidos por el aumento de volumen de las tuberías al transportar líquido a media temperatura (40 °C), tanto en la ida como en el retorno.

Las liras facilitan las dilataciones en las redes en ACS y calefacción.
Otra solución más económica es montar en serie un elemento que permita cierta dilatación en los extremos de los tubos unidos. Se denomina unión flexible, que además podrá estar combinada con elementos antivibratorios dotados de resortes que absorben los pequeños movimientos que pueden tener las redes de distribución para calefacción y ACS.
La solución para evitar que el calor se pierda en el transporte del ACS o del fluido caloportador utilizado en las redes de calefacción, es aislar térmicamente las canalizaciones por medio de aislantes adecuados. Estas tuberías son las denominadas calorifugadas, que retienen el calor hasta en un 30 %, y con las que se consigue un gran ahorro en energía.

Actividades
6. Escriba los elementos pertenecientes a equipos de generación, redes de distribución, elementos de emisión y elementos de seguridad, para las instalaciones caloríficas.
Una instalación calorífica es aquella que proporciona confort a las personas en sus viviendas, quedando excluidas las de tipo industrial referente al sector primario y secundario de producción de bienes.
La clasificación de las instalaciones caloríficas no incluye tampoco aquellas que se realizan con equipos de consumo eléctrico, ya que en este caso no se debe realizar ningún tipo de instalación de generación o distribución distinta de la eléctrica, que siempre está incluida en las viviendas particulares, industriales y de oficinas.
Por tanto, y teniendo en cuenta que para que una instalación calorífica pueda ser considerada como tal se requiere un tratamiento del fluido en su calentamiento y distribución, se realiza la siguiente clasificación:
En primer lugar, en la calefacción por agua, aceite o vapor, la generación de calor se realiza en una caldera que calienta el fluido y lo distribuye por la red general y particular en cada vivienda y/o local dispuesta, hasta los elementos terminales constituidos por radiadores, a una temperatura que permita, a pesar de las pérdidas en la red, obtener un nivel de temperatura aceptable. Quedan incluidos en este tipo los captadores solares que aprovechan las radiaciones para la generación de calor.
En la fontanería de ACS, la temperatura debe ser menor, ya que los consumidores son personas que realizan el contacto directo con el agua para las labores sanitarias. Este tipo de instalación calorífica puede ser colectiva con caldera, o individual en cada vivienda o local, caso este segundo muy habitual donde la generación de calor está particularizada para cada consumidor.
Con el actual desarrollo de la tecnología de la bomba de calor, a partir del ciclo de refrigeración, las instalaciones de climatización para calefacción por aire proporcionan ambientes calientes a los locales industriales y particulares de forma simple, ya que la generación del calor se realiza en un equipo sencillo que puede ser colocado en cualquier zona del edificio, con la sola necesidad de unión a la red eléctrica.
Diferentes instalaciones caloríficas en una vivienda

Las instalaciones auxiliares de ventilación-extracción de humos para las calderas de combustión suponen una red necesaria para canalizar, hacia el exterior de los edificios particulares e industriales, los humos y cenizas que se generan en la quema controlada de los combustibles fósiles y biomasa que se utilizan para calentar los fluidos que se reparten en las redes de calefacción y ACS. En este caso, el diseño debe cumplir unas normas estrictas, tanto para conseguir seguridad en las personas y en el medioambiente atmosférico a donde se emiten los humos.
Por último, en la climatización de piscinas, la actual legislación (Real Decreto 314/2006, de 17 de marzo, por el que se aprueba el Código Técnico de la Edificación), exige que sea realizada mediante energía solar térmica, para lo cual se ha ideado una instalación de circuito cerrado en la que el agua de la piscina se canaliza, ayudado por una bomba hidráulica, hacia los captadores solares que se encargan de calentar el fluido hasta temperaturas no superiores a los 35 °C.
El proceso básico de funcionamiento de la climatización de una piscina, a partir de las radiaciones solares incidentes en los captadores, es el siguiente:
El agua de la piscina se calienta gracias a las radiaciones solares


Actividades
7. Realice un listado de los elementos básicos que se utilizan para obtener ACS a partir del agua fría de la instalación de fontanería.
Un sistema de calefacción por agua o aceite, utilizado en los locales industriales o particulares de un edificio de viviendas, está formado básicamente por los siguientes elementos:
La instalación de calefacción es un circuito continuo de fluido

Según la generación de calor, se pueden encontrar en las instalaciones caloríficas con:
Es importante recordar que la instalación de equipos radiadores eléctricos que emiten calor por radiación electromagnética o por la combinación de esta y la convección, NO se considera una instalación calorífica. Se trata de una instalación eléctrica para baja tensión y su actual aplicación en suelos radiantes queda fuera de este manual.
Según la distribución de calor, se pueden diseñar redes de calefacción:
Según el fluido calorífico, se presentan:
Según la emisión de calor, existen diferentes equipos adaptados a los tipos de distribuciones elegidas:
La denominación de material puede referirse tanto al material natural o artificial, orgánico o inorgánico, como al tipo de elemento que se utiliza en una instalación.
Como materiales, en denominación de las “formas normalizadas”, además de los tubos rectos se tienen:
Como “materiales de la naturaleza” utilizados en las instalaciones caloríficas se tienen el cobre, el acero, el acero galvanizado, el acero inoxidable y el polímero (plástico).
Las instalaciones de suministro de agua fría y caliente (ACS) de fontanería, compuestas por redes de tuberías, elementos para la regulación y funcionamiento, deben estar construidas con materiales que no afecten a la potabilidad, ya que se podrían producir intoxicaciones en las personas consumidoras.
En las redes de calefacción, ya sea por agua, por vapor o por aceite, no es necesaria la potabilidad al tratarse de instalaciones estancas.
En los canales de distribución de aire para instalaciones de calefacción por aire, los materiales dependerán del diseño, ya sea con tuberías circulares o conductos de forma cuadrada o rectangular.
El cobre es un metal que en muy pequeñas cantidades se encuentra en la naturaleza, normalmente combinado en forma de sulfuro de cobre y carbonato de cobre.
Se obtiene por la reducción del material mineral mediante carbono, y posteriormente se afina por métodos electrolíticos.
Las tuberías de cobre se fabrican de cobre prácticamente puro. Es de pared interior lisa, a diferencia de la de acero galvanizado que es una tubería de pared interior rugosa. Por esta razón la pérdida de carga que se produce al circular al agua por la tubería de cobre es menor que la que se produce en la tubería de acero galvanizado. A igualdad de caudales, los diámetros interiores necesarios en una instalación de cobre son sensiblemente menores que los que se utilizan en una instalación de acero galvanizado.
Algunas características del cobre en las instalaciones de fontanería y calefacción son:
Las tuberías de cobre tienen sus medidas expresadas en milímetros.

Existe una gran variedad de formas para los montajes con tubería de cobre.

Sabía que…
La pulgada es una “medida inglesa”, y aunque se unificó hace poco tiempo con la unidad de medida del Sistema Internacional (S. I.), aún se utiliza en la denominación de algunos materiales.
El acero es una aleación compuesta de hierro y carbono, obtenido al insuflar oxígeno en el metal de hierro fundido (arrabio), lo cual reduce la cantidad de carbono presente, para conseguir mayor ductilidad y maleabilidad.
El material comercial, en forma de tubería redonda, utilizado en las instalaciones de agua o de gas en la edificación puede estar fabricado SIN soldadura o CON soldadura, recibiendo esta última el nombre de “tubería de caña negra”, que no se puede utilizar en instalaciones de fontanería de agua (fría o caliente), porque se corroe muy fácilmente, dejando partículas que pueden dañar la salud.

Importante
El tratamiento de galvanizado se utiliza sobre la tubería de caña negra, para crear una capa de cinc metálico que la protege de la corrosión.
En los canales de distribución de aire para calefacción a partir de una bomba de calor, la chapa de acero es el material más utilizado, ya que es muy versátil para su deformación en la construcción de conductos, tanto circulares como rectangulares.
Como ya se indicó anteriormente, el acero galvanizado es un producto comercial que se obtiene al someter al proceso de galvanizado a la tubería de caña negra, cuya aplicación está restringida a las instalaciones de agua fría y caliente de fontanería, siempre que el ACS no supere una Tª superior a 50 °C.
La aplicación de la tubería de acero galvanizado en las instalaciones de calefacción está totalmente prohibida, ya que, al superarse en estas los 65 °C, el cinc del galvanizado ataca al hierro del acero, generando una enorme corrosión.

Nota
Una sustancia anfótera es la que puede reaccionar como ácido o como base, dependiendo del pH de la solución.

La diversidad de formas, en los accesorios de acero galvanizado, facilitan la construcción de las redes de fontanería.
Aunque hoy en día las medidas inglesas ya están en desuso, aún existen denominaciones en pulgadas para los accesorios y tuberías utilizados en fontanería y calefacción.

Para la unión roscada de la tubería con los accesorios, o de los accesorios entre sí, se debe liar bien en la rosca una cinta de teflón o bien unos hilos de cáñamo para sellar completamente la unión y evitar que por ellas se pierda agua.
Los dos tipos de instalaciones, tanto de fontanería como de calefacción, utilizan un tipo de material:
El acero inoxidable (aleación de acero y cromo), se puede utilizar en instalaciones de alta calidad, pero el precio aumenta enormemente, aunque se obtiene una gran estética con bajas pérdidas de carga en el transporte gracias a su pared interior totalmente lisa.

Sabía que…
El acero inoxidable es una aleación de hierro, carbono y un 10 % de cromo, que evita la oxidación en su capa externa al contacto con el ambiente.

Actividades
8. Compruebe la diferente rugosidad superficial tocando el interior de un accesorio de cobre, en contrapartida con uno de acero galvanizado.

Aplicación práctica
Usted trabaja en el almacén de la empresa de instalaciones de fontanería y calefacción, seleccionando las piezas indicadas en las listas de material para los proyectos que realizan los montadores en la obra.
El proyecto está redactado con la terminología de medidas inglesas, y los diámetros vienen indicados en pulgadas.
Realice la conversión y escriba una lista de materiales en milímetros para los siguientes materiales:
SOLUCIÓN
Conversión de unidades:
La lista en mm quedará así:
El polímero es una molécula formada por la repetición de pequeñas unidades simples de carbono e hidrógeno, en forma lineal o ramificada, lo cual genera las características peculiares para clasificarlos.
El material polímero, o plástico, en forma comercial proporciona pequeñas pérdidas de carga al tener una pared interior lisa, además de facilidad en la construcción, manejo y montaje de redes, lo cual son grandes ventajas. Sin embargo, no se pueden utilizar cuando la temperatura del fluido supera unos límites, ya que sufre deformaciones permanentes o destrucción en su configuración estructural.
No obstante, el campo de aplicación de los polímeros plásticos ha evolucionado para adaptarse a los campos de la aeronáutica, naval, electricidad, electrónica y en la industria de los embalajes de todo tipo.
La forma en que se organizan las macromoléculas de carbono e hidrógeno en el polímero, proporciona diferentes características en su composición.
Atendiendo a las propiedades físicas, los polímeros se denominan:
Cuatro formas para cuatro aplicaciones

Los polímeros plásticos en sus aplicaciones para redes de fontanería en agua fría tienen la cualidad de que aíslan muy bien la electricidad, son imputrescibles, tienen poca pérdida de carga, son más económicos que los materiales metálicos y poseen facilidad de deformación con calor para su curvado. Los más usados son el polipropileno (PP) y el policloruro de vinilo (PVC).
Hay que recordar que los polímeros no se pueden utilizar ni en instalaciones de calefacción ni en ACS, debido a que se generan deformaciones debidas a la temperatura del fluido caloportador (agua o aceite caliente).

El agua fría no deforma el polímero.
La simbología es una representación gráfica utilizada en lenguaje técnico, y es solo una parte de la normalización que define un conjunto de reglas e instrucciones, de acuerdo con una serie de factores, con el fin de obtener piezas más simplificadas, eliminando las variedades innecesarias.
Algunas definiciones:
Las instalaciones caloríficas, tanto de redes de tuberías de calefacción y radiadores, como las que se desarrollan a partir de bombas de calor, deben estar representados por símbolos que se incluyen en los esquemas y planos de diseño y montaje.
La norma oficial en España es la UNE 1-102-91/1, de símbolos gráficos para fontanería, calefacción, ventilación y canalizaciones, que corresponde con la norma internacional ISO 4067-1.
El conocimiento de todos y cada uno de los símbolos es esencial para cualquier técnico, montador o encargado de mantenimiento, ya que con ello se podrá interpretar la documentación gráfica de manera unívoca, saltando la barrera lingüística de los idiomas.
De manera resumida, se presentan unos cuadros con los símbolos más empleados en las instalaciones de calefacción por agua o aceite, suministro de agua fría y para ACS, y de climatización por aire.




En el lenguaje técnico internacional, es necesario realizar unas normas que definan tanto los símbolos gráficos que representan los equipos, máquinas y demás elementos de las instalaciones industriales, como los procesos a seguir en su correcto montaje, funcionamiento y calidad de los materiales que se emplean.
Especificar, unificar y simplificar son los principios básicos que se emplean en la normalización.
La primera se encarga de señalar las dimensiones y los materiales, para identificarlos de otros, la segunda supone la creación de tolerancias para conseguir la intercambiabilidad, y la tercera informa sobre los procesos de fabricación para que estos se realicen de la manera más sencilla en formas comerciales.

En cada país o región existen organismos de normalización, aunque la tendencia presente y futura vaya encaminada a la unificación de las normas internacionales representadas por la ISO.
Zona o estado |
Siglas |
Organismo de normalización |
Internacional |
ISO |
Organización Internacional para la estandarización |
Europea |
CEN |
Organismo de Estandarización de la Comunidad Europea para normas EN |
Alemania |
DIN |
Instituto Alemán de Normalización |
España |
UNE |
Unificación de Normas Españolas |
Francia |
NF |
Asociación Francesa de Normas |
Italia |
UNI |
Ente Nacional Italiano de Unificación |

Actividades
9. ¿Qué organismo español es el encargado de realizar la normalización y la certificación de sectores industriales y de servicios? Entre en su página web, revise el catálogo y clasifique los tipos.
Existen tres tipos de tecnologías en las instalaciones caloríficas, cada una de ellas con sus propias características. Pero el control de todas ellas se realiza de manera similar, actuando sobre sus variables básicas como son el caudal del fluido caloportador y la temperatura final en la estancia o local.
Tanto para la clásica calefacción, como para la distribución del agua caliente sanitaria (ACS) y la climatización calorífica, conocer los principios básicos de su tecnología es el primer paso para diseñar, calcular, montar y mantener las instalaciones, acordes con las necesidades de los consumidores en sus viviendas y locales particulares, lugares públicos y oficinas colectivas.
La tecnología de la calefacción, como hoy se conoce, se remonta a finales del siglo XIX, en la que la utilización de combustibles fósiles en bruto (carbón) generaba una elevada contaminación en los ambientes urbanos.
Hoy en día la técnica y la tecnología han avanzado enormemente consiguiéndose sistemas más limpios y de control automatizado que aseguran un alto nivel de eficiencia.
Dependiendo de si el diseño de la calefacción se realiza para un único local, para varios locales de un mismo propietario o para una comunidad, la generación del calor necesario se debe adaptar a cada uno de ellos.
De la misma manera, la situación geográfica que proporciona una mayor o menor variación de la temperatura en las estaciones del año, aconseja la instalación de un tipo u otro de calefacción, entiéndase instalación de calefacción mediante fluido caloportador con caldera.
Se tienen dos tipos diferentes de distribución de redes de calefacción, para aprovechar el calor del fluido caloportador en el recorrido, la entrada y salida del emisor, y el retorno a la caldera:
Sistema tipo de calefacción en bitubular

Sistema tipo de calefacción en monotubular

La Norma Tecnológica de la Edificación (NTE) propone dos tipos de instalaciones para el ACS, la que se produce de manera centralizada en una caldera, para un grupo de propietarios, y la que se produce en la vivienda particular de cada propietario.
Estos dos esquemas se han estado utilizando durante muchos años en el diseño de instalaciones, y siendo prácticamente idénticos conviven con los nuevos diseños que propone el Código Técnico de la Edificación (CTE).
Esquema tipo A – ACS

La existencia en este esquema de tres unidades de generación de calor en tres calderas responde a que puede haber diferentes niveles en el servicio, para presión reducida, normal y elevada. Es necesaria la instalación de una válvula antirretorno antes y después de la entrada del fluido caloportador y enfriado en la caldera.
La elevación del ACS hasta el punto más alto, lo dejará caer por gravedad hacia los aparatos sanitarios repartidos en los locales húmedos de la vivienda o local. Se completa el esquema con varias válvulas de paso y de vaciado en el pie de cada columna de retorno.
Esquema tipo B – ACS

Los tres niveles también son para los posibles tres niveles de presión necesarios en la instalación. A partir de la derivación individual en cada vivienda o local del propietario, se encuentra una derivación de entrada en la caldera individual desde donde se reparte el ACS hacia los aparatos sanitarios que la consuman dentro de cada local húmedo.
Mediante un sistema (o circuito) de control se podrán mantener las condiciones de temperatura y humedad en el interior de un local, o un grupo de ellos, independientemente de las condiciones externas que pueda tener, teniendo en cuenta las pequeñas variaciones en el ambiente interno que se puedan presentar.
Además de la seguridad, un sistema de control deberá permitir el ahorro energético, a través de unas funciones, que son:
El diagrama de bloques de un sistema de control industrial, en lazo o bucle cerrado, está formado por un controlador automático, una planta (o instalación con actuadores) y un sensor (elemento de medición):
El sistema de control en lazo cerrado proporciona una regulación en “tiempo real”

Por un lado, la salida del controlador alimenta a los actuadores de la planta, como pueden ser la caldera, las válvulas, el motor de una bomba, etc.
Por otro lado, el sensor, o elemento de medición, es un dispositivo que convierte la variable de salida en otra variable que es manejable, como el arranque de una bomba, el quemador de la caldera, el pilotaje de válvulas, etc. Este sensor se utiliza para comparar la salida de la planta con la entrada inicial de referencia.
Las denominadas perturbaciones son influencias externas que intentan modificar la estabilidad del sistema automatizado de control, como son la apertura de las puertas o ventanas en un local calefactado, o el aumento o disminución de personas en una estancia. Estas se representan, en el diagrama de bloques, situadas entre el controlador y la planta, siendo ellas las que se modifican en “tiempo real” con los sistemas de lazo cerrado, utilizados en las automatizaciones industriales de todo tipo.
Existen tres sistemas de redes caloríficas, además del eléctrico no desarrollado en este manual, que son la calefacción por agua, vapor o aceite, el utilizado para el ACS y la bomba de calor para climatización. Para cada uno de ellos, existe un sistema de control particular.
Todos tienen en común que se pueden regular sus variables:

Recuerde
El circulador es el equipo industrial encargado de proporcionar movimiento al fluido líquido en las instalaciones de calefacción.
En general, el control en instalaciones caloríficas de tipo unitario, individual y colectivo se realiza utilizando uno o varios termostatos (sensores) que, combinados todos, emiten órdenes para regular el caudal o la temperatura del fluido caloportador.

El termostato controla y mantiene la temperatura de un local climatizado.

Actividades
10. Dibuje un esquema de control de la temperatura de retorno en una caldera de calefacción.
Una de las herramientas más importantes de que se dispone en el mundo de la ingeniería y la arquitectura es la representación gráfica. Tanto a escala como sin ella, un dibujo técnico sirve de lenguaje para cualquier pieza o espacio, dígase desde un tornillo hasta el mayor de los puentes.
Es por ello que identificar los elementos, que se deben montar en una instalación, a través de los dibujos realizados en los planos, es esencial para cualquier trabajo de montaje en la ingeniería o en la arquitectura. Cada uno de los símbolos representa un elemento que, unidos todos, permiten la construcción o montaje real en la obra.
En ocasiones las instalaciones no se encuentran representadas completamente en los planos constructivos, y es ahí donde un buen técnico y/o profesional, debe saber interpretar el esquema y llevarlo a la realidad de la obra.
La representación en planta de las redes de calefacción es sencilla, basta con indicar sobre el plano de distribución las tuberías, ya sean del tipo monotubular o bitubular, la posición de los emisores caloríficos o radiadores, y las uniones y llaves de paso necesarias, así como la situación de los elementos para el control de la temperatura y presión.
Las tuberías deberán salir (ida) y volver (retorno) hacia el equipo calentador del fluido caloportador, de manera que se disponga de un circuito cerrado de calefacción.

Aplicación práctica
El presidente de su comunidad de vecinos se ha enterado que usted está realizando un curso de instalaciones caloríficas, y le ha solicitado un estudio previo con la distribución de las tuberías de calefacción.
Antes de pedir el presupuesto a la empresa especializada, realice un dibujo esquemático del recorrido de las tuberías y la conexión en paralelo de los radiadores que se indican en el plano de distribución de su vivienda, a partir de la situación del acumulador de fluido, para conseguir la mayor eficiencia en pérdida de calor.

SOLUCIÓN
El recorrido más eficiente debe cumplir el requisito de ser lo más corto posible.
La conexión a los diferentes radiadores se debe realizar en paralelo, por lo que existirá una canalización de ida y una canalización de retorno, realizándose las tomas a los radiadores desde ellas.
La ida de fluido caliente y la de retorno de fluido frío no se deben mezclar, por lo que las tomas individuales de entrada y de salida se realizarán en cada una de las tuberías.
La representación de las tuberías de distribución y las dos tomas a los radiadores quedará de la siguiente manera:

Con esta distribución se consigue el mejor aprovechamiento de la energía calorífica, ya que el recorrido es el mínimo, además de poderse empotrar en las paredes sin tener que atravesar los tabiques interiores que dividen la vivienda en estancias.
Es necesario utilizar una leyenda que especifique cada símbolo, pues en ocasiones el técnico que redacta la documentación gráfica utiliza símbolos que no se encuentran normalizados, aunque deben ser fácilmente identificables e interpretables por el montador de las instalaciones.

Actividades
11. Realice un croquis que represente la distribución de tubería de calefacción en su propia vivienda. Si no dispone de instalación de calefacción, dibuje una posible solución.
Se va a realizar la descripción de una instalación de ACS en un edificio, a partir de los planos reales de un proyecto, en los que se puede observar la distribución de las tuberías y su salida en los aparatos sanitarios de los locales húmedos.
Como se podrá observar, debe existir una llave de paso a la entrada de cada local húmedo para conseguir el aislamiento de este por motivos de mantenimiento y/o reparación particular.
La distribución de las tuberías desde la acometida hasta la salida del agua en los aparatos sanitarios y de consumo debe seguir un recorrido lógico, de forma que se invierta la menor cantidad de tuberías en metros lineales, codos y curvas.
El número mínimo de válvulas dependerá de las normas oficiales y el número de grifos de los puntos de consumo que existan en la vivienda.
Sobre los planos de distribución general de una vivienda, se realiza el estudio gráfico de la distribución de fontanería de agua fría en una planta, y de ACS a partir del calentador-acumulador eléctrico situado en la cocina.
Locales húmedos (cocina y baño)

En la primera imagen se sitúan los aparatos sanitarios y de consumo para el baño y la cocina de la planta.
En la segunda imagen están indicados los recorridos a partir de las llaves de entrada al local húmedo, la toma de cada aparato y los puntos de consumo. El agua fría llega desde el montante o tubería vertical, indicado en la parte inferior.

Nota
Es importante saber, representar y montar SIEMPRE el grifo de agua caliente sanitaria en la izquierda de cada aparato sanitario o de consumo al que le llega, mirando de frente la persona que lo utiliza.
La representación gráfica de la distribución de tubos, para un mejor entendimiento e interpretación en el montaje real, se hace por el interior de los locales, aunque en realidad estas deben estar situadas empotradas o colgadas de los techos, descendiendo empotradas por las paredes hacia el punto de consumo en el aparato sanitario correspondiente.

Aplicación práctica
Hoy usted está muy contento, ya que ha recibido el encargo de realizar el diseño de recorridos de fontanería en un proyecto de reforma en los locales húmedos para una vivienda de un edificio, cuya distribución se muestra en la imagen siguiente:

Dibuje los recorridos de las tuberías, por el interior de los locales húmedos de la vivienda, tanto de agua fría a partir del montante, como de ACS a partir del calentador situado en la cocina.
SOLUCIÓN
En el interior de la vivienda se repartirá el agua, de forma que cada local húmedo sea independiente a partir del montante de agua fría.
El agua caliente sanitaria se produce en el calentador-acumulador eléctrico, repartiéndose a los puntos de consumo en locales mediante llave de paso individual.

Los sistemas de climatización pueden clasificarse inicialmente en individuales y colectivos. Los primeros tratan el aire en el exterior para un solo equipo interior en un solo local, y los colectivos reparten el aire tratado en la unidad exterior colectiva, repartiéndolo hacia una colectividad de locales a través de conductos de distribución.
Otra clasificación empleada para distinguir los sistemas de climatización es aquella en la que los equipos están en contacto directo con el local donde se realiza el aporte o absorción de calor, constituidos por el condensador y el evaporador, y otros denominados indirectos en los que se utiliza el fluido tratado en frío o calor para enfriar o calentar otro fluido secundario que se reparte por las estancias.
El sistema de climatización aire-aire se realiza de manera indirecta por convección, ya que se utiliza el aire tratado en una unidad de climatización, denominada Unidad de Tratamiento de Aire (U. T. A.). Por la unidad de climatización se hace pasar agua caliente y el ventilador emite aire, el cual se transmite por el conducto, distribuyéndose hacia los locales a calefactar.
Existe una renovación del aire del local desde el exterior y desde el interior por recirculación. El exceso de aire en el local se extrae de este en una derivación del retorno.
Sistema clásico de climatización aire-aire


Actividades
12. Además del sistema aire-aire, existen otros para la climatización. Realice un listado y escriba las características generales de cada uno de ellos.
La emisión del aire generado en el equipo exterior del sistema de climatización se realiza por la rejilla situada sobre la puerta de acceso a cada local. El conducto canaliza y reparte el aire caliente desde el condensador de la bomba de calor, por el mismo pasillo distribuidor de la vivienda y por el techo de esta.
La distribución de aire se inicia en el condensador y termina en la habitación a través de la rejilla

Cuando no se requiere la renovación del aire del local, el termostato regula automáticamente la emisión de aire o parada del equipo al conseguirse la temperatura fijada anteriormente.

Aplicación práctica
Usted es técnico en montaje de aire acondicionado. Hace dos semanas realizó un presupuesto para la distribución de aire de calefacción, en las oficinas de la empresa WEBernabe.
Esta mañana debe personarse en ella para enseñar al cliente el primer diseño que ha pensado para la distribución de aire para calefacción.
Desde los dos canales que se indican, unidos a la Unidad de Tratamiento de Aire (U. T. A.) situada en la azotea del edificio, dibuje los dos recorridos independientes, a partir de la situación en planta de los conductos verticales para llegar a todas las estancias, a excepción de los archivos de documentación.

SOLUCIÓN
En el plano de planta que representa la oficina, se identifican en la parte derecha los dos canales de distribución general de aire, que descienden por la fachada hasta las dos líneas independientes que hay que diseñar.
La primera línea de distribución de aire discurrirá a lo largo del distribuidor con derivaciones a las estancias de su derecha, y al final en el recibidor.
La segunda línea de distribución repartirá el aire a las estancias a través de tres salidas laterales y una final hasta el despacho de Dirección.

Cada rejilla se colocará sobre la puerta de acceso a la estancia, y de manera lateral en la estancia de Administración.
En la medida de lo posible, será necesario no realizar demasiada obra en las paredes, economizando igualmente en longitud de conductos.

Actividades
13. Enumere las diferentes formas de obtener calor en las instalaciones caloríficas, para una vivienda o local.
Cualquier persona, ya sean técnicos que redactan proyectos de instalaciones u operarios que se encargan del montaje y mantenimiento de estas, deben conocer cómo interpretar las documentaciones técnicas que se manejan en las instalaciones industriales.
El conocimiento de los símbolos es el primer paso para la interpretación de la documentación gráfica, junto con los manuales que describen el funcionamiento de los equipos que constituyen una instalación de cualquier tipo.
Todo esto hará que el montaje de las instalaciones caloríficas, en este caso, se realice de forma correcta y segura, tanto para las personas encargadas de la implantación, como para las consumidoras en sus viviendas y locales particulares.
Bajo el concepto de documentación técnica se agrupan todas las informaciones útiles que expresan el funcionamiento de un sistema técnico y/o tecnológico, en cuanto a instrucciones de montaje y utilización de equipos e instalaciones, características de los materiales, descripción de los trabajos a realizar, documentaciones gráficas (planos), condiciones legales para la puesta en marcha, presupuestos y cuantificación o medición de todos los elementos que intervienen en una obra de ingeniería.
Dentro de cada uno de los documentos básicos de un proyecto como son la memoria, los planos, el pliego de condiciones y la medición y presupuesto, se deben manejar formatos normalizados, desde hojas tamaño A4, hasta los diferentes tamaños que se tienen en los planos de la documentación gráfica (A0, A1, A2, A3, A4).
El tamaño del formato a utilizar dependerá de la escala del elemento representado |
|
Designación |
Medidas, mm |
A0 |
841 x 1.189 |
A1 |
594 x 841 |
A2 |
420 x 594 |
A3 |
297 x 420 |
A4 |
210 x 297 |
Siempre que se realiza una obra de ingeniería, el manual de puesta en marcha y el de mantenimiento se convierten en documentos esenciales para el buen funcionamiento de las instalaciones, desde su montaje hasta el final de su vida útil.
En la documentación exigida para el mantenimiento de los equipos industriales deben venir expresados los tiempos de duración de los elementos sometidos a desgaste, que habrá que sustituir dentro de su vida útil, si se quieren evitar las paradas no programadas en las instalaciones que se han montado.
Los controles de presión y temperatura en las redes de distribución y equipos térmicos montados en las instalaciones caloríficas deberán ser puntos muy importantes a realizar, si se pretende que su vida sea larga y sean utilizadas con seguridad, por parte de las personas consumidoras.
Los gráficos de la documentación técnica incluyen los planos de distribución de las redes de tuberías y/o conductos de aire utilizados en las instalaciones caloríficas, y los esquemas generales y particulares de cada zona.
El catálogo es el medio más empleado y directo que se utiliza en la industria para dar a conocer los diferentes productos que ofertan las empresas, y constituye todo un reclamo para ofrecer servicios a los clientes.
Un buen catálogo debe disponer de un índice que permita acceder de manera rápida a las informaciones de los diferentes productos o servicios que la empresa ofrece. De esta forma, los capítulos tienen que estar ordenados por familias profesionales o tipos de productos, con imágenes y características técnicas perfectamente entendibles por cualquier cliente final o intermedio que los requiera.
Hoy en día, en internet existe la posibilidad de acceder a los catálogos de productos de muchas empresas, ya sean industriales o de cualquier tipo, de manera directa y con discreción.

Importante
La forma de contacto siempre se debe reflejar en un buen catálogo, así como las diversas imágenes de equipos y maquinaria para la venta o alquiler.
La oferta comercial que una empresa difunde a través de su catálogo dispone en muchas ocasiones de informaciones para realizar presupuestos, tanto de la maquinaria como de las horas de mano de obra que se emplearán en el desarrollo de los trabajos demandados.
Puntos importantes en el diseño, para una posterior fácil interpretación del catálogo son los siguientes:
Internet, como medio de acceso rápido a cualquier tema, es el escaparate más desarrollado en el mundo del comercio, y ha relegado a la forma tradicional de oferta a través del catálogo de productos en papel. Debido a ello, un buen posicionamiento en los buscadores se considera del todo esencial en el mundo de la industria.
Las normas de obligado cumplimiento exigidas para la instalación de redes de calefacción y, en general, caloríficas, están recogidas en el Real Decreto 1027/2007, de 20 de julio, por el que se aprueba el Reglamento de Instalaciones Térmicas en los Edificios (RITE). En su apéndice 3, vienen indicados los conocimientos necesarios para acometer un proyecto e instalación de este tipo.
Después de efectuar los trabajos sobre las instalaciones caloríficas, se deben realizar informes técnicos de las labores que se han llevado a cabo, tanto en el montaje inicial como en los mantenimientos que se han de realizar durante la vida útil de la instalación.
Estos informes servirán a las empresas de mantenimiento como justificante de los trabajos realmente realizados, en el caso de la localización, diagnóstico y reparación de las redes de distribución y consumo de las instalaciones caloríficas.
Las informaciones se deben archivar para poco a poco realizar un fichero de actuaciones con indicación de los materiales, herramientas y tiempos que se han consumido, así como las piezas que se han sustituido en las posibles reparaciones.

Cualquier norma de calidad obliga al archivo de la documentación técnica.
Un informe técnico tipo debe incluir algunos puntos mínimos como son:
La normalización industrial, ya estudiada, prevé unas condiciones mínimas para un proyecto de ejecución de instalaciones caloríficas como son:

Actividades
14. Busque en internet las medidas en milímetros de los formatos normalizados para realizar planos y dibuje la forma de plegado hasta el tamaño A4.
Como métodos utilizados en la industria y entre particulares se tienen desde una partida alzada (estimación de coste), proyecto básico y proyecto de ejecución, hasta un presupuesto cerrado “llave en mano”.
En el caso de averías, el informe de los trabajos realizados se ha de utilizar para la previsión y diagnóstico de las fallas que se pueden producir en el futuro, utilizando el mantenimiento preventivo en lugar del correctivo, adelantándose a los problemas de corte que se pueden llegar a producir, con las consecuencias que se derivan de baja calidad en el suministro.
Cada empresa proveedora o montadora tiene un documento tipo en el que se rellenan las características principales de las actuaciones que se han llevado a cabo en los casos de mantenimiento y/o reparación de averías en las redes de distribución de la energía calorífica.
A lo largo de este primer capítulo del manual se ha realizado un estudio de las bases físicas que intervienen en las instalaciones caloríficas como son los fluidos, ya sea en estado de gas o líquido, junto con las variables termodinámicas que se obtienen en los cambios de fase o estado, de los que se puede aprovechar la energía y el calor internos que los materiales poseen.
Son muchos los elementos que intervienen en las instalaciones caloríficas, desde los encargados de generar el calor necesario para calentar el fluido, hasta los que emiten ese calor, pasando por las redes de tuberías, realizadas con materiales compatibles, para calefacción y agua caliente sanitaria, hasta los canales de distribución de aire caliente en las instalaciones termodinámicas con bomba de calor.
A la hora de interpretar los planos de montaje de instalaciones caloríficas, conocer toda la simbología que representa cada uno de los elementos de que está formada es esencial, tanto para el técnico como para el operario encargado de montar en obra. La simbología es solo una pequeña parte de la normalización industrial que actualmente se encuentra implantada en los países de cierto desarrollo social y económico.
Cada uno de los tipos de instalaciones caloríficas tiene un criterio de diseño, con puntos básicos comunes como son la generación de calor, el transporte y la emisión en los locales a calefactar y el consumo por parte de las personas, como es el caso del ACS.
La documentación necesaria para realizar instalaciones caloríficas está especificada en el proyecto básico y/o de ejecución, formado por la memoria, los planos, el pliego de condiciones y la medición y presupuesto. Deben acompañar también las normas y los reglamentos de obligado cumplimiento necesarios para conseguir que la instalación se encuentre dentro de las medidas de seguridad exigidas, tanto en el desarrollo de los trabajos, como en los consumidores dentro de los locales particulares.

Ejercicios de repaso y autoevaluación
1. La Ley de continuidad de la corriente de un fluido relaciona…
2. En la transmisión de calor por convección, el calor…
3. Cuando la temperatura externa al local a calefactar es menor que la interior que se pretende calentar, se utiliza la bomba de calor. El equipo que se encuentra en el interior del local se denomina…
4. El Reglamento de Instalaciones Térmicas en los Edificios (RITE) se aprobó mediante…
5. La “lira” es un elemento que se utiliza en la distribución de fluidos calientes en las instalaciones caloríficas para…
6. Determine si las siguientes oraciones son verdaderas o falsa.
7. Complete los cuadros de simbología en instalaciones caloríficas, escribiendo el nombre del símbolo y el símbolo del nombre, en cada caso.

8. En un sistema de control automatizado, ¿cómo se denominan las influencias externas que intentan modificar la estabilidad del sistema?
9. La colocación del grifo de ACS en un aparato sanitario o de consumo, según mira el consumidor, debe ser…
10. ¿Qué nombre se le da al medio más empleado y directo que se utiliza en la industria para dar a conocer los diferentes productos que ofrecen las empresas?