II. EL MÉTODO DE LA ECONOMÍA DE LA EDUCACIÓN
Los aspectos económicos de la educación han ido adquiriendo durante los últimos años una mayor presencia tanto en la docencia universitaria como en la investigación aplicada. La relevancia económica de la educación reside en el hecho de que los procesos educativos no solamente desarrollan las potencialidades existentes en los individuos —alentando la evolución cultural, moral y mental de las personas—, sino que también originan costes y beneficios, tanto para los individuos como para la sociedad, que tienen un claro contenido económico.
El análisis económico de la educación es una necesidad primordial para una buena toma de decisiones en educación. La política educativa compite por recursos con otras políticas de gasto como la sanidad o la defensa. Cómo compatibilizar unas demandas aún crecientes de gasto público social con una dotación de recursos cada vez más limitada es la cuestión que tiene planteada la sociedad española de nuestros días. Precisamente, la economía intenta determinar cómo asignar los recursos a las distintas actividades económicas y sociales para maximizar el bienestar social. Incluso con posterioridad a que los recursos hayan sido destinados a la educación, permanecerán los interrogantes de cómo pueden ser empleados más productivamente. El instrumental básico de los economistas ha resultado ser muy útil para analizar los problemas de la educación.
Todo proyecto docente debe abordar los aspectos metodológicos y científicos de la disciplina sobre la que verse el proyecto, de ahí que esta parte del libro se centre en el método de la economía de la educación. En primer lugar, se hace un recorrido por las principales contribuciones a la literatura económica de esta rama del conocimiento, desde su nacimiento en la década de los sesenta hasta la actualidad. En segundo lugar, se sintetiza el campo de estudio y la metodología de investigación de esta disciplina —como en todo conocimiento científico, los economistas de la educación aspiramos a explicar adecuadamente la realidad—. En tercer lugar, nos centramos en el caso español, con un repaso a la principal literatura aparecida en este terreno. En cuarto lugar, se expone resumidamente cómo es la enseñanza de esta materia en el ámbito universitario; se presenta una selección de programas que responden a los contenidos hoy aceptados como núcleo de la disciplina. Finalmente concluimos con un resumen de los aspectos tratados en esta parte de la obra.
2.1. Principales enfoques económicos de la educación
La relación entre economía y educación ha estado presente en la literatura económica desde el nacimiento de la propia ciencia económica (Smith, 1776) (4) . La mayoría de los economistas coincidimos en señalar que en la obra de Adam Smith se encuentran los primeros antecedentes de la teoría del capital humano, y por ende de la economía de la educación, al poner énfasis en: (i) el trabajo como fuente de la riqueza; (ii) la existencia de diferentes cualificaciones de los trabajadores; (iii) la consideración de la educación y otras formas de aumentar la cualificación de la fuerza de trabajo como inversión de los trabajadores; y (iv) cómo estas inversiones se reflejan en los salarios (5) . Pero el nacimiento de la economía de la educación, como rama de la economía, podemos situarlo en la década de los sesenta del siglo XX, con las aportaciones de los «economistas del capital humano» como Schultz (1960, 1961a, 1963) (6) o Becker (1964) (7) . Estimulados por las obras de estos precursores, otros destacados economistas como Blaug (1966, 1968, 1969, 1970, 1978) (8) , Mincer (1974) (9) , Hanushek (1979, 1986) (10) , Carnoy (1985) (11) , Psacharopoulos (1987) (12) y Levin (1991, 1994) (13) , entre otros, han desarrollado y completado aquellos trabajos pioneros produciendo un importante corpus bibliográfico y contribuyendo al desarrollo de esta rama de la economía.
2.1.1. Precursores
Theodore W. Schultz, profesor de economía de la Universidad de Chicago, acuña la expresión «capital humano» en una conferencia pronunciada en 1959: «humano» porque está incorporado al hombre, y «capital», porque es fuente de satisfacciones futuras, de ganancias futuras o de ambas cosas (Schultz, 1961a) (14) . Esta expresión, que desarrollaría posteriormente en la 73ª Reunión de la American Economic Association (diciembre de 1960), ha trascendido las fronteras del ámbito económico, siendo ahora mismo sinónimo de educación o formación. Con esta expresión Schultz quería resaltar la importancia que tiene la formación de las personas sobre la productividad y sobre el crecimiento económico (15) . La conferencia de Theodore W. Schultz constituye para muchos el «acta de nacimiento» de la economía de la educación. Sin embargo, las reflexiones económicas sobre el papel de la educación no era algo nuevo, puesto que los preclásicos comprendieron claramente la importancia de la educación en la productividad del trabajo, y los clásicos la de la formación del trabajador y las repercusiones sobre su productividad.
Entre los preclásicos William Petty se esfuerza, en sus Escritos sobre economía, por demostrar que la riqueza de un país depende fundamentalmente del nivel de conocimientos de sus habitantes. Pero fue ya el escocés Adam Smith quien considera en La riqueza de las naciones las cualificaciones (destrezas) de la fuerza laboral como factor determinante del progreso económico. En su definición de capital fijo también incluye al capital humano, que consta «de las aptitudes adquiridas y útiles por todos los habitantes o miembros de la sociedad. La adquisición de dichos talentos, mediante el estudio y el aprendizaje, implica siempre un gasto real, destinado a la preparación del sujeto que los adquiere, y viene a ser un capital fijo, invertido en su persona. Así como estos talentos forman parte del patrimonio del individuo, de igual suerte integran el de la sociedad, a la cual aquél pertenece. La destreza perfeccionada de un operario se puede considerar bajo el mismo aspecto que una máquina o instrumento productivo, que facilita y abrevia el trabajo, y, no obstante ocasionar algunos gastos, los retorna, acompañados de un beneficio» (Smith, 1987, p. 255) (16) .
Aunque Adam Smith no estima el valor del capital humano, sin embargo cree firmemente que la producción de este tipo de capital produce en los individuos un rendimiento considerable en la forma de mayores ingresos a lo largo de la vida. Además, mantiene que los beneficios de la educación se extienden también a toda la sociedad, evitando en particular la corrupción y la degeneración, y, por tanto, «los gastos que supone el sostenimiento de las instituciones religiosas y de enseñanza [...] se pueden enjugar, sin cometer injusticia alguna, mediante una contribución general de todo el país» (Smith, 1987, p. 717) (17) .
Las ideas estimulantes de Adam Smith en La riqueza de las naciones van a tener escasos efectos entre los economistas posteriores del siglo XIX y primera mitad del siglo XX, con algunas excepciones importantes como las de John Stuart Mill, Alfred Marshall o Irving Fisher. En su obra Principios de economía política, John Stuart Mill defiende, al igual que Adam Smith, que la cualificación de la fuerza de trabajo tiene un papel esencial en la determinación de la riqueza, pero se distancia de él al considerar que en el terreno educativo los mecanismos de mercado no funcionan eficazmente. Por su parte, el economista neoclásico Alfred Marshall también adopta en su obra Principios de economía la posición básica de Adam Smith de que «un hombre educado puede compararse con una máquina cara», aunque excluye al capital humano de su definición de «riqueza» y «capital». Por último, Irving Fisher introduce en La naturaleza del capital y la renta el componente humano del capital, haciendo posible la aplicación de término capital —todo stock de recursos que permiten originar futuros flujos de ingresos— a las personas.
2.1.2. Consolidación: Década de los sesenta
En las obras de William Petty, Adam Smith o John Stuart Mill, entre otros, se puede observar el interés que manifiestan por el componente humano de la formación de capital. Pero todos ellos se basan en una visión microeconómica, es decir, estudian la influencia de la educación en la productividad individual del trabajador, y no sobre el desarrollo económico general. Este último aspecto no empieza a considerarse hasta los años cincuenta del siglo XX, cuando los economistas no explican totalmente el crecimiento económico de un país, existiendo un «factor residual» que justificaría el crecimiento no explicado por los factores económicos tradicionales.
El origen del «análisis del factor residual» está en el trabajo de Solow (1957) (18) , cuya finalidad era llegar a establecer el efecto que sobre la función agregada de producción tenía cada uno de los factores que en ella intervenían, intentando separar la contribución al crecimiento debida a los dos inputs tradicionales, trabajo y capital, de aquella achacable a otros elementos no tenidos en cuenta hasta entonces. Así, Solow (1957) (19) obtiene que el 12,5 por ciento del crecimiento económico de los Estados Unidos entre 1909 y 1949 era atribuible a la acumulación de capital y trabajo, siendo el restante 87,5 por ciento atribuible al «factor residual», que él denominó «progreso técnico».
Pero, ¿en qué forma podía la educación contribuir al crecimiento económico? Los trabajos pioneros de Schultz (1961b) (20) y Denison (1962) (21) intentan responder a esta pregunta. El trabajo de Schultz (1961b) (22) puso de manifiesto cómo una proporción importante de la tasa de crecimiento del output de los Estados Unidos se debía a la inversión en educación, explicando del 16,5 al 20 por ciento del crecimiento del producto nacional entre 1929 y 1957. En el caso de Denison (1962) (23) se observa una tasa de crecimiento económico de los Estados Unidos entre 1929 y 1957 del 2,93 por ciento: 1,57 puntos porcentuales atribuibles al factor trabajo; 0,43 al factor capital; y 0,93 puntos porcentuales quedarían sin explicar como «factor residual». Denison (1962) (24) desagrega este «factor residual»: 0,35 puntos porcentuales para las economías de escala; y 0,58 puntos porcentuales para la contribución del «progreso de los conocimientos» (25) .
Estos estudios precursores de Schultz (1961b) (26) y Denison (1962) (27) , demostrando que el gasto en educación no era básicamente de consumo, sino más bien una inversión en capital humano que incrementa la capacidad del trabajo para producir bienes materiales, “incomodan” a muchos economistas de la época que consideraban —como se había hecho hasta entonces, con matizadas excepciones— la educación como un mecanismo para conseguir una sociedad más justa e igualitaria, y no como medio para mejorar la productividad de trabajo.
Un segundo grupo de trabajos empíricos sobre la educación, en tanto que inversión en capital humano, se enmarca en el análisis microeconómico, estableciendo una correlación entre educación e ingresos: aumento en los ingresos de aquellos individuos que acumulan mayor cantidad de educación porque ésta incrementa la productividad de las personas. Aquí destacan los trabajos pioneros de Becker (1960, 1962) (28) , publicados posteriormente en 1964 en la extraordinaria obra Capital humano, demostrando que la inversión en capital humano era rentable, y su rentabilidad era mayor que la de la inversión en capital físico (29) . La tasa de rendimiento se obtiene igualando los costes del proceso educativo con los futuros incrementos de ingresos que obtienen los individuos que reciben una educación adicional. Concretamente, usando datos del Censo estadounidense de 1950, Becker (1964) (30) estima una tasa de rendimiento de la educación universitaria del 13 por ciento (31) .
Por tanto, durante los primeros años de los sesenta todos estos trabajos de Theodore W. Schultz, Edward Denison y Gary S. Becker, entre otros, fueron dando cohesión y coherencia a toda una teoría sobre las inversiones en capital humano. Es la “revolución” del capital humano. La teoría del capital humano proporciona la razón de ser a la expansión masiva de los gastos de educación en la mayoría de los países. Si los gastos en educación contribuían al crecimiento económico, los Gobiernos podrían, además de satisfacer la demanda educativa de su población, contribuir al mismo tiempo al crecimiento del producto total nacional. Todo el mundo aclama el Capital humano de Gary S. Becker por los nuevos horizontes que abría con respecto al comportamiento del mercado educativo y laboral. Eran tiempos en que todo debate acerca de la planificación educativa giraba en torno al análisis de las tasas de rendimiento. Son los «años dorados» de la economía de la educación. Un buen ejemplo de ello está en la cantidad de artículos, libros e investigaciones aparecidos: 792 según Blaug (1966) (32) . Cuatro años más tarde este número había crecido hasta 1.350 (Blaug, 1970) (33) .
El marco metodológico y doctrinal del «capital humano» sienta las bases para visiones más productivistas de la relación entre economía y educación. Los «economistas del capital humano» presentan el proceso educativo como una inversión —las personas invierten en sí mismas—, y, al igual que con el capital físico, también estiman o cuantifican la rentabilidad de la inversión educativa (Hansen, 1963) (34) . Sin embargo, uno de los puntos débiles del modelo del capital humano es si realmente toda la diferencia en ingresos de los individuos con distintos niveles educativos puede atribuirse exclusivamente a la educación. Sin duda, uno de los problemas más importantes lo plantea la existencia de una supuesta correlación positiva entre educación y capacidad (habilidad): los individuos más capaces invierten más años en educación. La medición de la capacidad mediante el cociente intelectual (IQ) de bachilleres y universitarios sugiere que la capacidad de estos últimos es mucho mayor que la de los primeros (Becker, 1964) (35) . En este caso, se argumenta que la verdadera tasa de rendimiento de la educación está fuertemente sobrevalorada. Becker (1964) (36) mantiene que la tasa de rendimiento sería mayor del 10 por ciento después de controlar por la habilidad.
Dentro del contexto de la teoría del capital humano, la sociedad se beneficia también de la inversión en educación. Así, se pueden señalar diversos beneficios sociales derivados de aumentar el nivel educativo del conjunto de la población de un país: descenso de la delincuencia, aumento de la participación social en los asuntos npúblicos, etc. En la diferenciación de tasas de rendimiento sociales y privadas, Becker (1964) (37) señala que:
«Los beneficios económicos sociales de la educación, los beneficios para la sociedad y no los del individuo, pudieran diferir de los privados debido a la existencia de diferencias entre los costes y los rendimientos sociales y privados. Los economistas (y otros especialistas) normalmente no han tenido mucho éxito a la hora de calcular los efectos sociales de los diferentes tipos de inversión y, desgraciadamente, la educación no es una excepción. Es posible, sin embargo, establecer límites mínimos y máximos a esos efectos, lo que permite ignorar algunas de las afirmaciones más fantasiosas que se han hecho sobre los efectos de la educación»
(Becker, 1983, p. 214) (38) .
Los cálculos de Becker sugerían un 12,5 por ciento como límite mínimo y un 25 por ciento de límite máximo.
La teoría del capital humano impregna también diversos campos del análisis laboral. El destacado economista Jacob Mincer ayuda a revelar el contenido teórico de la teoría del capital humano mediante el análisis empírico de los determinantes de los ingresos, y las fuentes y naturaleza de la desigualdad de la distribución personal de la renta. También fue pionero en el estudio de las decisiones de participación en la fuerza laboral de las mujeres casadas. Su obra Schooling, Experience and Earnings, publicada en 1974, se convierte en un auténtico best-seller, siendo una de las obras más influyentes en economía de la educación y en economía laboral. En esta obra Mincer (1974) (39) desarrolla una «función de ingresos de capital humano» apoyándose tanto en la obra de Becker (1964) (40) sobre la tasa de rendimiento de la inversión en capital humano, como en la asignación óptima de la inversión sobre el tiempo debida a Ben-Porath (1967) (41) .
La función de ingresos propuesta por Mincer (1974) (42) es una función semilogarítmica, de tal forma que los ingresos que alcanza el individuo varían linealmente con el tiempo invertido en educación, y cuadráticamente con la experiencia. El coeficiente estimado por mínimos cuadrados ordinarios (MCO) asociado a la variable educación se puede interpretar como la tasa de rendimiento privada de un año adicional en educación —que no tiene en cuenta el nivel educativo al que se refiere este año de educación—. En relación con los coeficientes asociados a la experiencia y al cuadrado de ésta, se esperan coeficientes estimados positivo y negativo, respectivamente. Esto vendrá a indicarnos que unidades adicionales de tiempo en experiencia llevan a mayores ingresos, pero que cada año de experiencia tiene un efecto sobre los ingresos menor que el anterior. Sin duda, una innovación empírica importante resultante de la obra de Jacob Mincer, en comparación por ejemplo con el trabajo de Becker (1964) (43) , es que ahora el énfasis se pone en la experiencia laboral, en lugar de la edad, como indicador de la formación en el empleo.
2.1.3. Desarrollo posterior: Década de los setenta
Los primeros años de la década de los setenta presenciaron un profundo cambio en el papel dominante que la economía de la educación había jugado en la década anterior. Preocupados por la inflación y por el paro juvenil —o, incluso, por el exceso de preparación académica que habían alcanzado los individuos de algunos países—, la mayoría de los gobiernos recortaron los presupuestos educativos. Además, varios informes influyentes como Learning to Be (Fauré et al., 1972) (44) sostenían que el prevaleciente sistema educativo era considerablemente disfuncional. Asimismo, se cuestiona hasta qué punto los estudios de previsión de fuerza de trabajo a largo plazo (manpower planning), que proliferaron en la década de los sesenta auspiciados por la “revolución” del capital humano, son exactos o no, y si no son más que simples conjeturas (Ahamad y Blaug, 1973) (45) . En definitiva, la posición ocupada por los economistas en la elaboración de las políticas educativas fue durante la década de los setenta menos destacada que el protagonismo que tuvieron en los sesenta.
Pero tal vez los cambios más significativos en la economía de la educación se deban a las críticas a la teoría del capital humano procedentes de los economistas institucionalistas y radicales de los Estados Unidos. Incluso algunas de las críticas surgidas provienen desde dentro del propio seno de la teoría del capital humano.
La primera de las críticas, y dentro del marco neoclásico, proviene de la corriente credencialista. Para los integrantes de esta corriente —como Arrow (1973) (46) , Spence (1973) (47) o Stiglitz (1975) (48) —, los mayores ingresos salariales de los “más educados” no son, necesariamente, un reflejo de una mayor capacidad productiva debida a la educación, sino más bien lo que se observa es que la educación funciona como un mecanismo de selección en un mercado de trabajo caracterizado por la información imperfecta. Los empleadores utilizan la educación como “filtro” para situar a los “más educados” en los mejores puestos (y con mayores salarios), dado que su mayor nivel educativo es una “señal” de mayor habilidad, y el nivel de habilidad está correlacionado con la productividad.
El segundo grupo de críticas proviene de la corriente institucionalista. Para autores institucionalistas como Doeringer y Piore (1971, 1983) (49) , y Thurow (1975, 1983) (50) , la productividad está en el puesto de trabajo y no en los individuos como implícitamente supone la teoría del capital humano. Para las teorías institucionalistas (lado de la demanda de trabajo), los empleadores hacen una valoración de puestos asignándoles un salario: los salarios van “adheridos” a los puestos.
Finalmente, una tercera crítica procede de los economistas radicales Samuel Bowles y Herbert Gintis. La publicación en 1976 de su obra Schooling in Capitalist America desafía claramente al «enfoque del capital humano», y ha llegado a convertirse en la referencia bibliográfica más habitual sobre el pensamiento radical en economía de la educación (51) . Bowles y Gintis (1976) (52) afirman que los «economistas del capital humano» se equivocan al afirmar que el valor económico de la educación se debe enteramente a los efectos del aprendizaje cognitivo adquirido en el sistema educativo. Según ellos, en la mayoría de los trabajos el desempeño eficaz depende muy poco de los conocimientos directamente utilizables, y mucho más de ciertos rasgos de personalidad no cognitivos como la responsabilidad, la autoestima o la capacidad de liderazgo.
Sin embargo, todas estas críticas no van a hacer que la economía de la educación sufra un impasse en su desarrollo como rama especializada de la economía. Prueba de ello está en que en 1976 el total obras (artículos, libros, etc.) en este campo ascendía ya a 2.000, según Blaug (1978) (53) . Además, obras como la de Mincer (1974) (54) estimularán durante las décadas posteriores, hasta llegar a nuestros días, un importante volumen de investigación empírica de los determinantes de la oferta de trabajo y el cálculo de las tasas privadas de rentabilidad, lo que vendría a demostrar que la teoría del capital humano y las regresiones explicativas de los ingresos nunca dejaron de ser paradigmas válidos para el estudio de los efectos de la educación en la economía.
El trabajo de Mincer (1974) (55) es, quizás, una de las pocas obras aparecidas en economía de la educación que ha sobrevivido a un examen intenso y refinamiento continuo a lo largo de los años hasta la actualidad. De hecho, a partir de este trabajo buena parte de la literatura sobre rendimientos de la educación se ha centrado en tratar de estimar el rendimiento libre de los sesgos que éste pudiera captar cuando no se tienen en cuenta determinados problemas econométricos, mencionados por Griliches (1977, 1979) (56) . Estos sesgos surgirían cuando: (i) existen determinadas variables omitidas en la función de ingresos de capital humano —por ejemplo la habilidad o capacidad del individuo que se supone positivamente correlacionada con la educación—; (ii) no se mide correctamente la cantidad de educación; o (iii) la educación se trata como una variable exógena.
2.1.4. Desarrollos más recientes
En las décadas de los ochenta y noventa la economía de la educación aparece consolidada ya como un cuerpo de análisis que adquiere notable autonomía, y que ve ampliado su campo de investigación tradicional, como la contribución de la educación al crecimiento o los efectos de la educación sobre los salarios y la distribución de la renta, hacia otros terrenos (Eicher, 1988; Levin, 1989; Psacharopoulos, 2000) (57) .
Efectivamente, a partir de la aparición del Informe Coleman han sido numerosos los estudios preocupados por explicar el proceso de producción que se lleva a cabo en los centros educativos, identificando la función de producción educativa: relación que vincula inputs educativos (profesorado, tamaño de las clases, gastos por alumno, etc.) con output (resultados académicos) (58) . El trabajo inicial de Coleman et al. (1966) (59) llegaba a una conclusión sorprendente: sólo entre un 5 y un 10 por ciento de la varianza en los resultados académicos se podía atribuir a los recursos educativos utilizados en los centros de enseñanza; la varianza restante vendría explicada, fundamentalmente, por el contexto sociofamiliar y por las aptitudes del alumno.
La limitada incidencia del centro educativo en los resultados académicos de los estudiantes es el denominador común de trabajos posteriores en economía de la educación (Hanushek, 1986) (60) . Sin embargo, en la década de los noventa hubo avances importantes en la técnica estadística del «meta-análisis» que, aplicada a los mismos estudios usados por Hanushek (1986) (61) , arrojaba resultados muy distintos: los recursos o inputs escolares sí ejercen un efecto positivo en los logros académicos (Hedges et al., 1994) (62) . Otro trabajo interesante es el de Barro y Lee (1997), que muestra cómo los inputs familiares y los recursos escolares se relacionan con los resultados académicos (63) . Además, tras la publicación del influyente trabajo de David Card y Alan Krueger (1992) (64) , demostrando que existe una asociación positiva y significativa entre la calidad de las escuelas —medida por índices como la ratio alumnos/profesor o los salarios de los profesores— y los ingresos obtenidos en el mercado laboral por los estudiantes, buena parte de los trabajos de investigación de los últimos años se centran en analizar la influencia que ejerce la calidad de la educación recibida sobre los ingresos de los individuos (Betts, 1995, 1996a, 1996b; Grogger, 1996; Heckman et al., 1996; Johnson y Stafford, 1996; Card y Krueger, 1998) (65) .
Igualmente, buena parte del debate gira en torno a cuál debe ser la intensidad (y extensión) de la intervención pública en el terreno educativo. Por ejemplo, si la provisión de la educación debe realizarla el sector público directamente o, por el contrario, es mejor dejarla en manos de la iniciativa privada, aún corriendo la financiación de la enseñanza a cargo del erario (Chubb y Moe, 1990; Coons y Sugarman, 1992) (66) . La educación constituye una de las políticas de gasto público más importantes en la mayor parte de los países, tanto desarrollados como en vías de desarrollo. Por tanto, es lógico que los temas relacionados con la provisión (producción) y financiación de la educación (obligatoria y postobligatoria) se hayan convertido en temas clave en economía de la educación (67) .
Hace ya más de cincuenta años que Milton Friedman propusiera una forma “radical” de financiar la educación obligatoria (Friedman, 1955) (68) : los padres recibirían un «vale educativo» (educational voucher) que podrían usar para pagar los derechos de matrícula en el colegio elegido para sus hijos. La idea de un programa de vouchers, al menos en teoría, es sencilla: en lugar de conceder directamente a los colegios subvenciones para que impartan la enseñanza, los gobiernos conceden a los consumidores (padres) un vale (bono o cheque) que pueden utilizar en el colegio que prefieran (Cohn, 1997; Levin, 1998) (69) . Por ejemplo, en 1990 el Estado de Wisconsin (USA) instituyó un programa de este tipo para posibilitar que los hijos de familias pobres tuviesen la oportunidad de asistir a escuelas privadas (Rouse, 1997) (70) . Los defensores de la implantación de este tipo de programas sostienen que los vouchers incrementarán la competencia entre las escuelas y, por tanto, mejorará la calidad de todas ellas, públicas y privadas (Friedman y Friedman, 1979; Lieberman, 1989) (71) . Pero hasta el momento, y a pesar de seguir siendo éste un tema de gran interés (también controvertido) entre investigadores de la educación y responsables políticos, han sido muy pocos los gobiernos que han puesto en práctica los «vales educativos» como instrumento de financiación.
En el caso de la educación postobligatoria —y en concreto la universitaria— el esquema de financiación es más complejo, ya que hay que diseñar adecuados instrumentos de financiación, tanto para las instituciones de educación superior como para los estudiantes, haciendo especial hincapié en la evaluación de sus niveles de eficiencia y equidad (Albrecht y Ziderman, 1992; Oosterbeek, 1998) (72) . El extraordinario crecimiento que la enseñanza universitaria ha experimentado en todos los países en los últimos veinte años ha motivado la aparición de un importante número de estudios sobre financiación, principalmente en la década de los noventa (Williams, 1992; Kaiser et al., 1993; Comisión Europea, 1999) (73) .
Otro tema de investigación típico en economía de la educación, y al que se le ha prestado un especial interés —tanto desde un punto de vista teórico como empírico— en las últimas décadas, es el fenómeno de la «sobreeducación»: aquella situación en la que los individuos de la fuerza laboral trabajan en empleos en los que no hacen pleno uso de su educación formal (Freeman, 1976; Tsang y Levin, 1985; Hartog y Oosterbeek, 1988; Kiker et al., 1997) (74) . El trabajo de Groot y Maassen van den Brink (2000), a partir de los resultados de los principales estudios realizados en este terreno, revela que la incidencia global de la sobreeducación en el mercado laboral es el 26 por ciento (porcentaje de trabajadores sobreeducados); porcentaje que no ha cambiado significativamente desde los años setenta (75) .
Para averiguar si un trabajador está o no «sobreeducado» debe determinarse la educación requerida por el puesto donde está trabajando y compararla con la educación que posee. Son dos las metodologías principalmente utilizadas en los estudios empíricos. La primera de ellas consiste en preguntarle directamente a los trabajadores sobre la relación existente entre su educación y la educación requerida por sus empleos: «método subjetivo» (Hartog y Oosterbeek, 1988; Oosterbeek, 1991; Sicherman, 1991) (76) . Mediante el uso de encuestas los trabajadores se pronuncian sobre los años de educación que, según ellos, son necesarios para desempeñar su tarea adecuadamente, así como el nivel educativo que poseen. La segunda metodología consiste en comparar el nivel educativo del trabajador con su nivel laboral: «método objetivo» (Rumberger, 1981, 1987; Verdugo y Verdugo, 1989; Groot, 1993) (77) . El nivel laboral se determina fijando los requerimientos educativos de las distintas ocupaciones —por medio de un análisis o descripción de puestos de trabajo—, que se suponen vienen determinados por las tareas del puesto y no por las características del trabajador que lo desempeña.
Junto con los nuevos temas que se van incorporando a la investigación educativa, conviven viejos debates en economía de la educación —como la contribución de la educación al crecimiento económico—, avivados ahora por los trabajos del profesor Paul M. Romer quien da nuevas claves sobre el crecimiento, otorgándole un papel determinante a la educación, y que le convierten en el creador de la «nueva teoría del crecimiento económico» (Romer, 1986, 1990) (78) . La mayoría de los trabajos empíricos subsiguientes revelan la existencia de una relación directa entre capital humano, productividad y crecimiento (Mankiw et al., 1992; De la Fuente, 1995; Barro, 1997, 1999) (79) . Por ejemplo, Mankiw et al. (1992) (80) y De la Fuente (1995) (81) destacan el papel de la educación en el crecimiento económico: la educación representa entre el 15 y el 23 por ciento de la renta per cápita. Pero una objeción a estos trabajos es que no tienen en cuenta el efecto feedback capital humano-crecimiento, es decir, mayor educación implica mayor crecimiento, pero a su vez el crecimiento de la renta permite aumentar los niveles de educación. Para analizar este efecto Freire-Serén (2001) (82) estima un sistema de ecuaciones simultáneas, usando variables instrumentales, demostrando, por un lado, que el nivel de renta tiene un efecto positivo y significativo en el proceso de acumulación de capital humano y, por otro lado, que el capital humano tiene un efecto positivo y significativo en el crecimiento de la renta. De no considerar esta simultaneidad las estimaciones estarían sesgadas.
Sin embargo, los economistas, aún reconociendo el importante papel del capital humano en la explicación del crecimiento, cuestionan si el capital humano —y en concreto la cantidad de educación— se está midiendo correctamente. Hay al menos tres enfoques para medir el stock de capital humano (OCDE, 1999) (83) . El primero de ellos es usar el nivel más alto de educación completado por cada adulto (o logro educativo de la población) como una aproximación a la cantidad de capital humano. El logro educativo puede expresarse, bien como la proporción de adultos que han completado cada ciclo educativo, bien como el número promedio de años de educación completada (84) . Una medida alternativa para medir el stock de capital humano es evaluar directamente las habilidades (aptitudes) de la población adulta. Los resultados del IALS (International Adult Literacy Survey) proporcionan un enfoque nuevo en la medición de las habilidades y competencias en un contexto internacional. Finalmente, el tercer enfoque consiste en observar las diferencias en los ingresos de la población adulta, asociadas con características individuales particulares, para estimar el valor agregado del stock de capital humano.
Uno de los mejores intentos de medición de la educación es el que llevan a cabo Robert Barro, economista de la Universidad de Harvard, y Jong-Wha Lee, de la Universidad de Corea. En 1993 publican un estudio comparativo sobre «ratios educativos» referidos a 129 países para el período comprendido entre 1960 y 1985. El análisis se refería a la proporción de hombres y mujeres de más de 25 años que había completado diferentes niveles académicos. Una limitación de este trabajo de Barro y Lee (1993) (85) es la no consideración de la calidad diversa de la educación —los centros educativos en un país son mejores que en otros—. En actualizaciones posteriores de su trabajo los propios autores trataron de medir la calidad de la enseñanza. Pero las medidas utilizadas seguían siendo indirectas. Por ejemplo, recogen información de ratios alumnos/profesor, gasto público en educación y sueldos de los profesores. Pero ninguno de estos criterios resulta para otros autores un indicador convincente de lo que se puede considerar «calidad de la educación». Además, incluso en el caso de que ésta última pudiera medirse adecuadamente con esos procedimientos, los resultados no serían muy explícitos, al no distinguir entre tipos de educación. Individuos que han permanecido cinco años en la universidad estudiando, por ejemplo, Filosofía, probablemente cuenten con menos «capital humano productivo» si se les compara con aquellos otros que han permanecido durante el mismo tiempo estudiando, por ejemplo, Ingeniería Informática.
Una manera de superar tales dificultades, que se enmarcaría dentro de la tercera metodología propuesta por la OCDE (1999) (86) , sería medir el capital humano vía salarios. Así, Casey Mulligan y Xavier Sala-i-Martin elaboran un «índice de capital humano» basado en rentas salariales. La idea es que el volumen de capital humano de una persona debe verse reflejado en lo que gana. Este enfoque tiene la ventaja de poner de manifiesto las diferencias del tipo de escolaridad. Aquellos individuos que han estudiado materias «económicamente productivas» deberían ganar más que los trabajadores sin cualificación alguna o que, aún contando con estudios, hubieran estudiado, como en el ejemplo anterior, Filosofía. Asimismo, estos autores también tienen en cuenta las mejoras de capital humano que se producen en el mismo puesto de trabajo (Mulligan y Sala-i-Martin, 1995) (87) . Sin embargo, esta metodología también presenta sus limitaciones. Las medidas del stock de capital humano basadas en los ingresos laborales solamente tienen en cuenta el valor de mercado de dicho capital humano; pero los beneficios no monetarios de la educación son también importantes (Michael, 1973, 1982; Haveman y Wolfe, 1984; Wolfe y Zuvekas, 1997; McMahon, 2004) (88) , y por consiguiente deberían ser también tenidos en cuenta (89) . A este respecto destacan las estimaciones de inversión en educación llevadas a cabo por Dale Jorgenson y Barbara Fraumeni (1989) (90) . Estos autores estiman para Estados Unidos el valor del capital humano en términos de una corriente futura de ingresos adicionales —descontada al momento presente— para diferentes grupos, de acuerdo con la edad, género y logro educativo. Pero aquí el concepto de ingreso no se limita tan sólo al valor de las actividades de mercado (tiempo dedicado al trabajo), sino que también incluye un valor imputado para el tiempo dedicado a las actividades de “no-mercado” (como por ejemplo el disfrute del ocio o el cuidado de los hijos). La inversión en capital humano, cuando se tiene también en cuenta su impacto fuera del mercado, puede representar un valor más grande que la inversión en capital físico.
El problema de la medición de la calidad de la fuerza laboral es abordado también por Eric A. Hanusek y Dongwook Kim (1998) (91) . En lugar de concentrarse en medidas convencionales de inputs educativos, construyen medidas de calidad basadas en el desempeño cognitivo de los estudiantes (student cognitive performance) (92) . Las diferencias en la calidad de la fuerza laboral medidas de esta forma demuestran tener efectos sólidos en las tasas de crecimiento. Las medidas de calidad son particularmente importantes para explicar qué países están a la cabeza, y cuáles en la cola, en la distribución de las tasas de crecimiento económico. La calidad tiene una influencia consistente y estable en el crecimiento económico.
Evidentemente, todos los sistemas de medición señalados anteriormente tienen sus defectos. La dificultad muchas veces radica en que las propuestas diseñadas por los autores requieren de una gran cantidad de información detallada sobre salarios y sobre escolaridad, no siempre disponible en todos los países. La importancia del capital humano es más fácil de demostrar en la teoría que en la práctica.
Naturalmente, y aunque hasta ahora hemos venido identificado capital humano con educación, la inversión en educación es solamente una de las muchas formas de inversión en capital humano. Por ejemplo, las inversiones hechas por los padres en la crianza y educación de sus hijos, o la formación de los trabajadores en sus puestos de trabajo, son también inversiones en capital humano; temas éstos particularmente importantes en estudios aplicados en economía de la educación. En el primer caso, los resultados de dichos estudios indican una fuerte correlación negativa entre la calidad y la cantidad de hijos (Becker, 1981; Becker et al., 1990; Hanushek, 1992) (93) ; ello pone de manifiesto la presencia de un efecto sustitución entre ambas variables —los padres sustituyen cantidad de hijos por calidad de los mismos—, confirmándose la hipótesis fundamental que subyace en el análisis económico de la fecundidad (94) . Obviamente, el nivel educativo de los padres —principalmente el de la madre— juega un papel determinante en la elección del número de hijos: cuanto mayor sea el nivel educativo de la madre, menor será su número de hijos, ceteris paribus.
En relación con la formación en el empleo, una de las principales contribuciones de la teoría del capital humano ha sido dar respuesta al interrogante de cuánto deben las empresas invertir en formación (y quién debe pagarla) bajo diferentes condiciones del mercado laboral. Uno de los conceptos teóricos más influyentes en el análisis del capital humano es la distinción entre formación general y específica (Becker, 1962) (95) . Por definición, la formación específica es útil solamente para la empresa que la proporciona, mientras que la formación general es útil también en otras empresas. Esta distinción ayuda a explicar por qué es menos probable que abandonen la empresa aquellos trabajadores con altos conocimientos específicos —y sean también los últimos en ser despedidos durante las etapas de recesión económica—, o por qué la mayoría de las promociones se hacen desde dentro de la empresa, en vez de acudir los empleadores al reclutamiento y selección externos (Becker, 1993b) (96) .
Durante las dos últimas décadas del siglo XX se intensificaron los estudios teóricos y empíricos sobre la formación en el empleo, cubriendo aspectos tales como la teoría económica subyacente en las decisiones de los gobiernos, empresas e individuos en proporcionar y adquirir formación, o los problemas metodológicos que surgen al estimar el impacto de la formación en los ingresos laborales futuros. Entre los principales hallazgos de los trabajos enmarcados en esta área destacan, por ejemplo, que en el sector privado los individuos que reciben formación son aquellos que ya poseen una alta cualificación, o que los rendimientos de la formación son mayores en el sector privado que en el sector público (Ashenfelter y LaLonde, 1996) (97) .
Las décadas de los ochenta y noventa también se caracterizaron por la proliferación de trabajos de investigación que miden los rendimientos de las inversiones en capital humano utilizando como herramienta empírica la «función de ingresos de Mincer» (Psacharopoulos, 1985, 1994; Cohn y Addison, 1998; Asplund y Pereira, 1999; Harmon et al., 2001) (98) . Estamos de acuerdo, pues, con la siguiente cita: «Como instrumento empírico, la función de ingresos de Mincer ha constituido uno de los grandes éxitos de la moderna economía del trabajo» (Willis, 1991, p. 670) (99) . Pero ahora un número importante de dichos estudios incorporan “refinamientos” en la metodología de las ecuaciones salariales convencionales —intentando soslayar los problemas econométricos ya citados por Griliches (1977, 1979) (100) — que permiten arrojar nueva luz sobre el tema de los rendimientos. Destacan a este respecto un conjunto de trabajos que utilizan nuevas técnicas (o alternativas metodológicas) para corregir el «sesgo de habilidad» y/o el «sesgo de selección» que pueden distorsionar la estimación del verdadero efecto de la educación sobre los ingresos (Blackburn y Neumark, 1993, 1995; Angrist y Krueger, 1994, 1995; Card, 1994; Murnane, et al., 1995; Heckman y Vytlacil, 2000) (101) . Otros trabajos reflejan también el impacto del origen socioeconómico sobre los ingresos de los individuos (102) .
¿Cuáles son actualmente los temas de interés en las investigaciones aplicadas en economía de la educación? En lo que va del nuevo siglo, los rendimientos de la educación siguen estando presentes en gran parte de las publicaciones. Los últimos cálculos de los rendimientos de la educación llevados a cabo a nivel internacional siguiendo el «método elaborado» revelan que son mayores las tasas privadas de rendimiento que los rendimientos sociales de la educación —por niveles educativos, los mayores rendimientos, sociales y privados, se obtienen para la educación primaria—. La educación primaria produciría un rendimiento privado del 26,6 por ciento y una rentabilidad social del 18,9 por ciento. En el caso de la educación secundaria, los porcentajes serían del 17 y 13,1 por ciento, respectivamente. Finalmente, los rendimientos para las inversiones en educación superior serían del 19 por ciento, para las inversiones privadas, y del 10,8 por ciento para las inversiones sociales (Psacharopoulos y Patrinos, 2004) (103) . Pero es quizás en la aplicación de la técnica de las variables instrumentales al cálculo de los rendimientos donde más se ha avanzado en estos últimos años. En términos generales, los instrumentos usados, bien recogen información de antecedentes familiares, bien utilizan experimentos naturales. En el primer caso, los instrumentos más frecuentes hacen referencia a determinadas características de los padres como el nivel de estudios o la ocupación (104) . En el segundo caso, los instrumentos usados se relacionan con el trimestre de nacimiento o con las leyes de escolaridad obligatoria como determinantes exógenos del nivel educativo alcanzado. En todos estos trabajos se observa que la utilización de MCO para estimar la «ecuación de Mincer» produce un valor sesgado a la baja en el cálculo de la rentabilidad, que es mayor cuando se utilizan variables instrumentales (105) .
Junto con los rendimientos de la educación, actualmente hay un gran interés entre los economistas por analizar empíricamente las relaciones entre recursos escolares y resultados de los estudiantes. La aparición de excelentes bases de datos en estos últimos años —por ejemplo, los datos del proyecto PISA de la OCDE— han contribuido en gran medida a retomar este ya clásico tema en economía de la educación que se inició en los sesenta del siglo XX con el Informe Coleman (106) .
2.2. La investigación en economía de la educación
2.2.1. Los principales temas de estudio en economía de la educación
La investigación económica sobre la educación es necesaria porque se necesitan criterios para decidir adecuadamente, individual y/o colectivamente, sobre temas educativos dada la importancia de:
El volumen del gasto en educación.
Los numerosos recursos humanos implicados.
Las importantes decisiones personales.
Los importantes efectos económicos.
Los importantes efectos sociales.
Trazar los rasgos principales de la investigación económica sobre la educación no es tarea fácil debido a la amplitud de temas que han sido objeto de estudio. A pesar de todo, hacemos un esfuerzo por resumir los principales temas educativos que podemos estudiar bajo el marco conceptual que proporciona el análisis económico (107) :
1. Demanda de educación
1.1. Las demandas por tipos de educación
1.2. Equidad en el acceso
2. Eficiencia interna del sistema educativo
2.1. El gasto en educación
2.2. Productividad del proceso educativo
2.3. La planificación de la educación
2.4. Las instituciones educativas como empresas
2.5. Los recursos humanos del sistema
3. Evaluación de los procesos educativos
3.1. Análisis coste-beneficio
3.2. Análisis coste-eficacia
3.3. Análisis de tasas de rendimiento
3.4. Indicadores de rendimiento
3.5. Evaluación de la calidad
4. Los beneficios de la educación
4.1. Beneficios de empleo (presentes y futuros)
4.2. Beneficios salariales
4.3. Cambios de pautas de consumo
4.4. Beneficios no monetarios
5. Educación y crecimiento económico
5.1. Educación y desarrollo
5.2. Educación y cambio tecnológico
6. Financiación de la educación
6.1. Obligatoria
6.2. Postobligatoria
6.2.1. Pública versus privada
6.2.2. Criterios de asignación de los fondos públicos
6.2.3. Becas
7. Educación y mercado de trabajo
7.1. Trabajo y educación
7.2. Cualificaciones laborales
7.3. Relaciones internas del mercado laboral
7.4. Formación en la empresa
2.2.2. Técnicas de análisis
La economía de la educación no contiene un tipo de análisis metodológicamente muy distinto al usado en la investigación en el área de la economía aplicada; no obstante, en la literatura económica en este terreno se han ido sedimentando un conjunto de técnicas de análisis peculiares, que le han dado la entidad suficiente como para ser objeto de un estudio particularizado en este apartado. Nosotros nos centramos en dos de las técnicas de análisis más usadas en la investigación empírica: el análisis econométrico y el análisis envolvente de datos.
a) El análisis envolvente de datos o método DEA
La evaluación de la labor que se lleva a cabo en las instituciones escolares presenta un gran interés para poder mejorar la calidad de la enseñanza. El análisis envolvente de datos o método DEA permite evaluar, desde un enfoque microeconómico, la eficiencia interna de los centros educativos, principalmente aquellos que operan en el sector público. Se trata de un enfoque no-paramétrico cuyo principal atractivo es que no impone ninguna forma funcional concreta a los datos. Además, permite trabajar simultáneamente con múltiples inputs y outputs.
Principales etapas del DEA
Cuatro son las principales etapas a considerar en un estudio aplicado de eficiencia productiva de los centros educativos:
A. Definir y seleccionar los centros (unidades) a evaluar
Los centros a evaluar deben manifestar cierto grado de homogeneidad en su estructura de funcionamiento.
Se supone que producen el mismo tipo de output mediante el empleo del mismo tipo de recursos o inputs.
Su número debe ser lo suficientemente elevado como para que sea posible discriminar entre ellos.
B. Seleccionar inputs y outputs a usar .
Los inputs pueden ser discrecionales y no discrecionales, según si el centro evaluado tiene o no control sobre su nivel, respectivamente.
Como inputs tendríamos, entre otros:
El número de profesores por alumno en cada centro.
El gasto total anual por alumno gestionado por cada centro.
Podemos usar como outputs, entre otros:
El número de aprobados respecto al número de matriculados en el centro.
La nota media (global o según materias).
C. Seleccionar el modelo de optimización
Existen dos tipos de modelos básicos en DEA:
Modelo CCR, que supone rendimientos de escala constantes (en su orientación output o input).
Modelo BCC, que supone rendimientos de escala variables (también en su orientación output o input).
En la producción educativa, y principalmente cuando se evalúan centros públicos, se opta normalmente por un modelo BCC-orientación output. Principalmente, por dos razones: (i) los centros, normalmente, cuentan con unos recursos que les vienen dados y que no pueden alterar; y (ii) bajo el supuesto de rendimientos de escala variables, la eficiencia relativa de un centro se mide con relación a los restantes centros que operan en una escala similar.
D. Ejecutar el modelo y analizar los resultados
La ejecución del modelo nos permite obtener los índices o coeficientes de eficiencia para cada uno de los centros evaluados. Estos coeficientes permitirán clasificar a los centros en dos grupos:
Eficientes, los que logren un valor de 1 (o del 100%).
Ineficientes, el resto.
Para cada centro evaluado catalogado como ineficiente esta técnica indica las pautas a seguir para lograr la eficiencia; es decir, permite establecer un plan de actuación.
b) El análisis econométrico
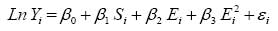
b.1. El modelo de regresión lineal: Calculando los rendimientos de la educación
El método más usado en los trabajos aplicados para calcular tasas de rendimiento esperadas (tasas privadas) consiste en estimar por mínimos cuadrados ordinarios (MCO) una función de ingresos del tipo originalmente desarrollada por Mincer (1974) (108) :
donde: Y son los ingresos esperados del individuo i (109) ; S son los años de educación formal completados (110) ; E, los años de experiencia laboral; las betas son los coeficientes de regresión que deben ser estimados; y ε es el término de error. El coeficiente estimado β1 (multiplicado por 100) nos da la tasa de rendimiento privada (promedio) de la inversión en un año extra de educación. Este enfoque, no obstante, no incluye costes educativos directos (matrícula, libros, etc.), aunque sí incorpora ingresos perdidos o costes de oportunidad.
En la estimación de los rendimientos de las inversiones educativas mediante la «ecuación de ingresos de Mincer», la literatura ha considerado habitualmente la educación como una variable exógena. Sin embargo, la educación puede ser endógena como resultado de una elección óptima del individuo. Los rendimientos de la educación, no ajustados por la endogeneidad, estarán sesgados a la baja.
La estimación de la «ecuación salarial de Mincer» por mínimos cuadrados en dos etapas (MC2E) es una técnica de regresión que nos ayuda a corregir el problema de la endogeneidad de la educación. La primera etapa requiere el uso de variables instrumentales (VI) con las cuales predecir los determinantes de la cantidad de educación que los individuos desean acumular. Las variables instrumentales (o instrumentos) deben cumplir dos condiciones: a) no tener un efecto parcial sobre Y; y b) estar correlacionadas con S. En una segunda etapa usamos los valores predichos para la variable educación para explicar los ingresos que obtienen los individuos en el mercado de trabajo en función de su stock de capital humano. El coeficiente que obtengamos ahora tras realizar la estimación de la ecuación salarial será una buena medida del verdadero rendimiento de la educación.
b.2. El modelo de regresión lineal: Estimación de la función de producción educativa
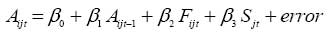
Una función de producción educativa es una expresión matemática que liga inputs y outputs en educación:
A ijt = f (A ijt-1, F ijt, S jt)
i = i, 2, ..., n (representa alumnos)
j = 1, 2, ..., J (representa grupos o escuelas)
t = año escolar
A = rendimiento escolar
F = inputs no escolares
S = recursos o inputs escolares
Como inputs no escolares tendríamos: inteligencia, esfuerzo personal, estatus socioeconómico (reflejado en la educación y renta de los padres), influencia del grupo de iguales (peer group effects), etc. Entre los inputs o recursos escolares: edificios y demás espacios escolares, equipamiento, maestros (educación, experiencia, etc.), número de alumnos por clase, etc.
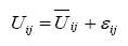
En la práctica, el análisis econométrico proporciona un número de modelos útiles que guían al analista en su intento de especificar (y estimar posteriormente) una función de producción educativa. Aunque en el sector educativo es difícil especificar el modelo apropiado que vincule inputs y outputs, la mayoría de los estudios han usado el modelo de regresión lineal:
El modelo permite predecir el efecto que sobre el rendimiento escolar tendría un cambio en los recursos o inputs educativos. Se suele prestar una atención especial a los inputs controlables por los centros (o por la Administración educativa).
Supongamos que la variable S es el tamaño de la clase y que beta 3 estimado es igual a -0,6. Entonces podríamos predecir que los resultados aumentarían en 1,2 puntos como resultado de una reducción del tamaño de la clase en 2 niños: (-0,6) (-2).
b.3. Modelos de duración o análisis de supervivencia
Se denomina análisis de supervivencia al conjunto de técnicas que permiten estudiar la variable «tiempo hasta que ocurre un evento» y su dependencia de posibles variables explicativas. En economía de la educación estas técnicas resultan muy adecuadas para estudiar la transición desde el sistema educativo al mundo del empleo. La variable de interés (dependiente) en un modelo de duración es el período de tiempo que transcurre entre el momento en que un fenómeno empieza y el momento en que el fenómeno finaliza. En nuestro caso, el fenómeno comienza cuando el individuo finaliza sus estudios y termina cuando encuentra su primer empleo.
Debido a que la variable tiempo es una variable continua podría, en principio, ser estudiada mediante las técnicas de análisis de la varianza o los modelos de regresión lineal. Hay, sin embargo, dos dificultades importantes para este planteamiento. En primer lugar, en la mayor parte de los análisis de duración la variable tiempo no tiene una distribución normal, más bien suele tener una distribución asimétrica y aunque podrían intentarse transformaciones que la normalizaran, existe una segunda dificultad que justifica un planteamiento específico para estas variables, y es que para observarlas se tiene que prolongar el estudio durante un período de tiempo suficientemente largo, en el cual suelen ocurrir pérdidas, que imposibilitan la observación del evento. Los modelos de supervivencia también difieren de los modelos de regresión estándar en su habilidad para incorporar datos censurados (111) .
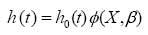
Cuando se mide la duración, representada por la variable T, las observaciones corresponden a un fenómeno que ha estado sucediendo durante un período de tiempo (0, t), siendo T = t el «momento de fallo»; en nuestro caso, encontrar el primer empleo. La función de riesgo h (t) especifica la tasa instantánea de fallo en un momento dado (T = t) condicionado a que se haya sobrevivido hasta ese momento t. Por ejemplo, en el caso de la inserción, la función de riesgo indica la probabilidad de encontrar empleo en t dado que se ha estado desempleado hasta ese momento.
La literatura de los modelos de duración modeliza la función de riesgo como el producto de dos componentes:
donde h 0(t) es el riesgo básico y Φ(X,β) es la influencia de la heterogeneidad observada. El riesgo básico capta el efecto del tiempo transcurrido sobre la probabilidad de que ocurra un fallo (encontrar empleo, separarse del empleador, etc.) bajo el supuesto de que la heterogeneidad es constante. Por su parte, la heterogeneidad observada mide el efecto de las variables explicativas X sobre la probabilidad de que ocurra un fallo. Los regresores se colocan en la forma habitual pero su influencia sobre la tasa de salida siempre obedece a la distribución exponencial. Por ejemplo, la duración del desempleo es habitualmente explicada en la literatura a través de un conjunto de regresores que suelen referirse a características personales y familiares del parado (sexo, edad, nivel educativo, experiencia previa, etc.), indicadores de coyuntura económica (tasa de desempleo, dummies anuales y/o trimestrales de ciclo, etc.) y variables relacionadas con su situación de desempleo actual (esfuerzo de búsqueda, cobro de prestaciones por desempleo, etc.) (112) .
El problema que se le presenta ahora al investigador es saber qué forma adopta el riesgo básico a lo largo del tiempo. Son dos las posibles alternativas: (i) no hacer suposiciones sobre la forma del riesgo —que podría ser constante, creciente, decreciente, creciente y después decreciente, etc.— y asumir que, cualquiera que fuese esa forma, es el mismo para cada uno de los individuos; o (ii) suponer que el riesgo sigue una distribución determinada. En el primer caso, tenemos el modelo de riesgos proporcionales de Cox (1972) (113) ; se trata de un modelo semiparamétrico de duración en el que el riesgo básico queda sin especificar. En el segundo caso, tenemos los modelos paramétricos de duración en los que dicho riesgo queda especificado; esto es, se especifica una forma funcional para h 0(t) (114) .
Aunque son muy variadas las distribuciones que se han propuesto para los modelos de duración paramétricos, no obstante son cuatro las más usadas: exponencial, Weibull, log-normal y log-logística. El modelo exponencial es el modelo paramétrico más simple, porque asume que h 0(t) es constante, lo que significa que la razón de fallo es independiente del tiempo. Por el contrario, la distribución Weibull puede proporcionar una variedad de formas (monótona creciente o decreciente) de la función de riesgo que vienen determinadas por un parámetro estimado p. Cuando p es mayor que 1, el riesgo Weibull es monótono creciente; cuando es menor que 1, entonces es monótono decreciente. En el primer caso, se dice que existe una dependencia de la duración positiva; en el segundo caso, una dependencia de la duración negativa. En el contexto del desempleo, el concepto de dependencia de la duración positiva (negativa) indicaría que la probabilidad de que un individuo se emplee crecería (decrecería) a medida que se alargase la duración del período de desempleo (115) . La distribución Weibull es, pues, adecuada para modelizar datos que exhiben tasas de riesgo monótonas. No obstante, es posible que este modelo no sea apropiado para nuestros datos; entonces podemos usar otras dos distribuciones que son la log-normal y la log-logística. En el caso de la log-normal, la función de riesgo no es monótona, sino que aumenta y después disminuye, y su forma depende de un parámetro estimado sigma. En el caso de la log-logística, su forma depende de un parámetro estimado gamma. Si gamma es menor que 1, el riesgo log-logístico primero aumenta y luego disminuye; si gamma es mayor o igual que 1, entonces el riesgo es monótono decreciente.
b.4. Modelos de respuesta cualitativa
Hay muchas situaciones en la investigación aplicada en las que la variable respuesta es cualitativa: elección del sector de actividad (sector público frente a sector privado); grado de satisfacción laboral (muy insatisfecho, insatisfecho, satisfecho, muy satisfecho); elección de carrera universitaria de ciencias sociales (Económicas, Empresariales, Políticas, Sociología); etc. En situaciones como éstas en las que la variable respuesta es cualitativa (dicotómica, politómica ordenada, politómica no ordenada, etc.), la regresión clásica, que trata de explicar el nivel de una variable respuesta continua en función de un conjunto de variables explicativas, no es el método econométrico más apropiado, ya que sus propiedades óptimas están basadas en supuestos que dejan de cumplirse cuando la variable respuesta es cualitativa. Los «modelos de respuesta cualitativa» permiten, consecuentemente, relacionar una variable dependiente cualitativa con una o más variables independientes, las cuales pueden ser dicotómicas, politómicas o continuas.
El análisis de regresión clásico permite predecir el valor esperado de una variable dependiente —como por ejemplo los ingresos anuales de un individuo— dado un grupo de variables independientes —en el ejemplo, un vector de características de dicho individuo: sexo, educación, experiencia, etc.—. Sin embargo, al usar un «modelo de respuesta cualitativa» podemos predecir la probabilidad de que una respuesta sea elegida. Por ejemplo, si un titulado en Enfermería debe optar entre trabajar en el sector privado o en el sector público, podemos predecir la probabilidad con la que elegirá cada una de las alternativas.
b.4.1. El modelo logit binomial
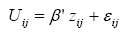
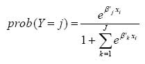
El modelo logit (o probit) binomial es adecuado para modelizar comportamientos en los que la variable dependiente es dicotómica. Siguiendo con el ejemplo anterior, si asumimos que el individuo elige la alternativa más atractiva de entre las dos opciones (sector público versus sector privado), entonces la elección que nosotros observamos revela las preferencias del individuo. Si observamos que dicho individuo (que denotamos por i) elige trabajar en el sector público, esto implica que: U i1 > U i0, donde U i1 y U i0 son las utilidades que i asocia con el sector público y sector privado, respectivamente. La utilidad U ij que le reporta al individuo i la alternativa j (j = 1: trabajar en el sector público; j = 0: trabajar en el sector privado), se descompone aditivamente en un componente sistemático, que depende de un vector de atributos X (salario, beneficios no monetarios del puesto, etc.), y otro aleatorio ε ij :
Pero la utilidad U ij no es observable. Lo que observamos es la decisión Y i, que vale 1 si el individuo i elige trabajar en el sector público y 0, si elige trabajar en el sector privado. Si un individuo racional elige la alternativa que le reporta mayor utilidad, tendríamos que:
probabilidad [Y i = 1] = probabilidad [U i1 > U i0]
probabilidad [Y i = 0] = probabilidad [U i0 > U i1]
McFadden (1974) demuestra que en este caso la probabilidad de que el individuo i elija la alternativa 1 es (116) :
Esta sería la forma reducida para el modelo logit binomial (o modelo logístico), donde se supone que los ε’s no observados siguen una distribución de probabilidad logística.
b.4.2. El modelo logit multinomial
Un modelo de elección múltiple entre alternativas no ordenadas puede venir generado también por modelos de utilidad aleatoria. Cuando el i-ésimo individuo ha de elegir entre J posibilidades (por ejemplo, distintas titulaciones universitarias), la utilidad de escoger la j-ésima opción es:
Si el individuo escoge la opción j-ésima es porque, de entre las J utilidades diferentes, la máxima es Uij. El modelo estadístico se construye, por tanto, teniendo en cuenta que escoger la alternativa j-ésima equivale a decir que: prob (Uij > Uik) para cualquier otro k distinto de j.
Si definimos Y i como una variable aleatoria que indica la alternativa escogida, y si las variables explicativas contienen sólo información sobre características específicas de los individuos (x i), entonces la probabilidad de elegir la j-ésima opción viene dada por (McFadden, 1974) (117) :
Este es el denominado modelo logit multinomial.
b.4.3. Modelo logit ordenado
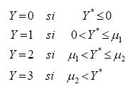
El modelo logit (o probit) ordenado tiene en cuenta la naturaleza discreta y ordenada de la variable dependiente —por ejemplo, el grado de satisfacción laboral—. La especificación del modelo logit ordenado obedece a la expresión (Greene, 1999) (118) :
donde: ε es la perturbación, que sigue una distribución logística; X es el vector de regresores —incluida la constante— que recoge características observables de los individuos: educación, antigüedad en la empresa, estado civil, etc.; y, por último, el vector de coeficientes beta cuantifica el impacto de los regresores utilizados (119) .
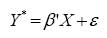
La variable Y* (variable latente continua) no la podemos observar; lo que observamos es:
En realidad, lo que tenemos es una forma de censura en los datos. Los coeficientes mu son parámetros que se han de estimar al tiempo que las betas. La variable Y, que es una variable observada, toma los valores:
Y = 0 si el encuestado se siente muy insatisfecho.
Y = 1 si el encuestado se siente insatisfecho.
Y = 2 si el encuestado se siente satisfecho.
Y = 3 si el encuestado se siente muy satisfecho.
2.2.3. Revistas relacionadas con la economía de la educación
No hay duda de que la investigación en economía de la educación ha avanzado de forma decisiva en los últimos quince años. En términos generales, conocemos hoy la realidad económica sobre la educación mejor que hace un par de décadas y los avances en el conocimiento de esa realidad se han difundido a través de revistas y publicaciones con mucha más intensidad en los últimos años que en el pasado. En el universo de las revistas del SSCI (Social Sciences Citation Index) (120) los investigadores han aumentado su participación. Aunque la investigación sigue estando muy concentrada en un reducido número de instituciones norteamericanas (Columbia, Harvard, Princeton o Stanford), el número de instituciones europeas que están consiguiendo publicar en revistas del SSCI se ha incrementado de forma notable. Entre estas revistas destacamos:
American Economic Review
Econometrica
Economics of Education Review
Educational Evaluation and Policy Analysis
Educational Policy
Harvard Journal on Legislation
Higher Education
Journal of Economic Literature
Journal of Human Resources
Journal of Political Economy
Journal of Public Economics
National Tax Journal
Quarterly Journal of Economics
Review of Economics and Statistics
Otras revistas destacadas, aún no estando en la base del SSCI, son:
Education Economics
Harvard Education Review
Journal of Education Finance
Public Budgeting and Finance
2.3. La economía de la educación en España
2.3.1. El interés de los economistas españoles por la educación
Aunque la economía de la educación toma cuerpo a partir de los primeros años de los sesenta del siglo XX, como hemos visto, no obstante el interés de los economistas españoles por abordar la educación desde el punto de vista económico pasó a formar parte de los hábitos científicos sólo a partir de los primeros años de los ochenta del siglo XX. Entre los pioneros destacan economistas como José Luis Moreno Becerra o Francisco Bosch Font quienes tuvieron la oportunidad de trabajar con profesores de renombre internacional como Mark Blaug, quien les contagió, quizás, el interés por estos temas y la posibilidad de llevarlos al terreno de la realidad española. A ellos se fueron uniendo otros economistas como Lucía Navarro Gómez o Javier Díaz Malledo, quienes, todos ellos, son los primeros economistas españoles que dedican su esfuerzo intelectual al estudio económico de la educación. Las Jornadas sobre economía de la educación: Evaluación, financiación y empleo celebradas en marzo de 1983 en la Facultad de Económicas de Málaga, corroboran esta afirmación.
Las ponencias de las jornadas de Málaga se publican en octubre de 1983 en el número 12 de Cuadernos de Ciencias Económicas y Empresariales (revista de la Facultad de Económicas de la Universidad de Málaga). Este número, junto con la obra de Juan R. Quintás, Economía y educación, publicada ese mismo año (121) , más la obra de José Luis Moreno Becerra y Mark Blaug Financiación de la educación superior en Europa y España, publicada un año después (122) , constituyen los primeros trabajos específicos en esta disciplina publicados en nuestro país.
Pero en la década de los ochenta la economía de la educación sigue siendo aún un campo desconocido para muchos economistas y encuentra serias barreras para extenderse al ámbito académico y profesional. Sólo la publicación en 1988 del libro de Francisco Bosch Font y Javier Díaz Malledo, La educación en España. Una perspectiva económica (123) , y la aparición un par de años después del libro de José Ginés Mora Ruiz titulado La demanda de educación superior (124) , junto con el número monográfico sobre Economía y educación publicado en el número 12 de Ekonomiaz (1988), constituyen nuevas aportaciones que pasarían a engrosar el escaso material bibliográfico que sobre esta materia disponíamos en nuestro país.
Sin lugar a dudas, en la década de los noventa asistimos, por el contrario, a un desarrollo considerable de este campo de estudio en España, y que atrae poderosamente la atención de economistas y no economistas (125) . Destacamos tres publicaciones: (i) Efectos del gasto público educativo. El sistema de becas universitarias, de Jorge Calero (1993) (126) ; (ii) La demanda de educación superior en España: 1977-1994, de Cecilia Albert (1998) (127) ; y (iii) Política educativa y gasto público en educación, de Jorge Calero y Xavier Bonal (1999) (128) .
Son dos, principalmente, los factores que explican el impulso importante que tiene la economía de la educación en los noventa, logrando un reconocimiento y una difusión difíciles de imaginar apenas unos años antes: por un lado, el nacimiento de la Asociación de la Economía de la Educación (AEDE); por otro, la implantación como asignatura universitaria en las Facultades de Ciencias de la Educación.
Uno de los fines de la AEDE, cuya asamblea constituyente se celebra en noviembre de 1992 en Valencia, es «promover y difundir los estudios de economía de la educación y la formación y el perfeccionamiento de expertos en su realización». Entre las principales vías usadas para la difusión de estos estudios destacan los encuentros anuales que organiza la Asociación, que brindan la oportunidad a los investigadores de presentar sus trabajos científicos. Fruto de estos encuentros es el amplio e interesante material en castellano con el que ya contamos.
Finalmente, otro indicador del interés creciente que en los últimos años ha habido en nuestro país por esta disciplina, es la proliferación de cursos, seminarios, etc., que han permitido perseverar en la reflexión y en el intercambio de aproximaciones teóricas y experiencias, y que en algunos casos también han visto la luz en forma de publicación, como es el caso del libro Economía de la educación. Temas de estudio e investigación editado por Julio Grao y Alejandro Ipiña (1996) (129) .
2.3.2. La investigación económica sobre la educación en España: Bases de datos y producción científica
La producción científica relevante en economía de la educación no se reduce tan sólo a las obras citadas anteriormente —y a las comunicaciones presentadas en los encuentros anuales de la AEDE—, sino que en los últimos años han aparecido excelentes trabajos de investigación que han enriquecido los fondos bibliográficos en castellano en este terreno. Así, es cada vez mayor el número de artículos aparecidos en revistas nacionales de prestigio como Revista de Educación, Estadística Española, Hacienda Pública Española, Revista de Estudios Regionales o Información Comercial Española, entre otras (130) . También merece la pena resaltar el hecho de que un número cada vez mayor de economistas de la educación españoles estén logrando publicar sus artículos en revistas internacionales como European Journal of Education, Higher Education, Economics of Education Review o Education Economics, entre otras. Es, sin duda, la mejor manera de que nuestros trabajos de investigación puedan conocerse más allá de nuestras fronteras.
La investigación económica sobre la educación en nuestro país ha cubierto una amplia lista de temas, contribuyendo a un mejor conocimiento de la relación educación-economía. A ello ha contribuido, por un lado, la disponibilidad de bases de datos apropiadas y, por otro lado, el esfuerzo de los investigadores españoles que han demostrado competencia para replicar con datos nacionales los modelos conceptuales y las metodologías aplicadas previamente en otros países, sobre todo Estados Unidos.
En líneas generales, los aspectos económicos de la educación son tratados por los economistas españoles fundamentalmente desde la perspectiva del mercado laboral: (i) efectos que la educación tiene sobre los ingresos; (ii) transición del sistema educativo al empleo; (iii) desajuste educativo; (iv) formación en el empleo; o (v) satisfacción laboral. Otros trabajos también cubren aspectos relacionados con la demanda educativa, la financiación de la educación o la eficiencia en la producción educativa. Las bases de datos disponibles han condicionado claramente la elección del tema de investigación. Entre las bases de datos más usadas tenemos:
Encuesta de Presupuestos Familiares 1980/81
Encuesta sobre Condiciones de Vida y Trabajo (ECVT) de 1985
Encuesta piloto de ingresos que acompañó a la EPA del segundo trimestre de 1990
Encuesta de Presupuestos Familiares 1990/91
Encuesta de Estructura, Conciencia y Biografía de Clase (ECBC) realizada en España en 1991
Encuesta Sociodemográfica que acompañó al Censo de 1991
Encuesta de Estructura Salarial de 1995
Módulo ad hoc de la EPA del año 2000
Encuesta de Población Activa (EPA)
Panel de Hogares de la Unión Europea (PHOGUE)
Proyecto CHEERS (Careers after Higher Education: An European Research Study)
Estas bases de datos han proporcionado la información necesaria para abordar investigaciones en las relaciones de la educación con el mercado de trabajo, demanda educativa o financiación, excepto en el caso de estudios sobre eficiencia donde los investigadores han recogido sus propios datos. A continuación resumimos los principales trabajos de investigación a partir de las bases de datos citadas.
a) Determinantes salariales y rendimientos de la educación
a.1. Encuesta de Presupuestos Familiares 1980/81
Uno de los trabajos pioneros sobre los efectos que la educación tiene sobre los ingresos es el de Calvo (1988) (131) . Con datos de la EPF–1980/81, obtiene que los universitarios ganan: el doble que aquellos que no tienen ningún tipo de estudios; un 70 por ciento más que los que solamente completaron la enseñanza primaria; y un 40 por ciento más que los que finalizaron los estudios de bachillerato.
Más recientemente, Barceinas et al. (2000) hallan una tasa de rentabilidad de la educación para España (y para 1980) del 5,9 por ciento, a partir de la información sobre salarios de cabezas de familia contenida en la EPF–1980/81 (132) .
a.2. Encuesta piloto de ingresos de 1990
El trabajo de Alba-Ramírez y San Segundo (1995), usando esta base de datos, halla una tasa de rendimiento de la educación del 8,4 por ciento (133) .
a.3. Encuesta de Presupuestos Familiares 1990/91
Usando datos de la EPF–1990/91, Vila y Mora (1996) obtienen una rentabilidad del 5,3 por ciento por cada año de educación formal (134) . Con la misma base de datos, Oliver et al. (1998) hallan una tasa interna de rentabilidad (TIR) privada del 14,2 por ciento, 15,9 por ciento y 14,2 por ciento para los estudios primarios, secundarios y superiores, respectivamente; la TIR social se sitúa en el 12,5 por ciento para los estudios primarios, 14,1 por ciento para los estudios secundarios y 12,2 por ciento para los estudios superiores (135) .
a.4. Encuestas de Presupuestos Familiares 1980/81 y 1990/91
Usando ambas fuentes de datos, Lassibille y Navarro (1998) estudian la evolución de los rendimientos de la educación en España durante la década de los ochenta. Los resultados, basados en ecuaciones salariales, sugieren que los rendimientos para la educación secundaria y para las licenciaturas declinaron entre 1980 y 1991, mientras que los rendimientos para la educación primaria subieron moderadamente. Al mismo tiempo, los trabajadores con una diplomatura universitaria son recompensados relativamente más en 1991 que en 1980 (136) .
Por el contrario, los resultados de Vila y Mora (1998) muestran una caída en el rendimiento de la educación entre 1981 y 1991 para los niveles educativos no universitarios. En el caso de la educación superior, no se observa que haya habido una reducción en su rentabilidad. El hecho más destacado es que en una década de expansión de los logros educativos, la desigualdad en los ingresos por género declinó considerablemente (137) .
a.5. Encuesta de Estructura, Conciencia y Biografía de Clase de 1991
San Segundo y Valiente (2003) usan la ECBC de 1991 y obtienen un rendimiento de la educación del 6,4 por ciento —«ecuación de Mincer» estimada para los hombres solamente— (138) .
a.6. Encuesta de Estructura Salarial de 1995
Barceinas et al. (2001), a partir de la información proporcionada por la Encuesta de Estructura Salarial de 1995 y mediante el «método de Mincer», hallan una rentabilidad de la educación del 8,2 por ciento para los hombres y del 8,3 por ciento para las mujeres (139) .
Barceinas et al. (2002), usando también esta base de datos y seleccionando solamente a hombres asalariados, llevan a cabo un análisis comparativo entre estimaciones MCO (mínimos cuadrados ordinarios) y por VI (variables instrumentales) de los rendimientos de la educación, siendo la variable instrumental el “tratamiento” derivado de la reforma educativa de 1970. El rendimiento de la educación del 6,2 por ciento obtenido por MCO contrasta con el mayor rendimiento, 8,8 por ciento, estimado por VI (140) .
a.7. Panel de Hogares de la Unión Europea (PHOGUE)
Caparrós et al. (2001), con datos de las olas primera y tercera del Panel de Hogares de la Unión Europea para España (PHOGUE-1994 y 1996) y usando el «método de Mincer», estiman una tasa privada de rentabilidad marginal promedio de la inversión educativa del 8,1 por ciento en 1994 para los hombres (9,5 por ciento para las mujeres), reduciéndose al 6,6 por ciento en 1996 en el caso de los hombres (y al 9,1 por ciento en el caso de las mujeres) (141) .
Pons y Gonzalo (2002) adoptan el enfoque de variables instrumentales para estimar los rendimientos de la educación en España (para varones asalariados solamente). A partir del Panel de Hogares de la Unión Europea (PHOGUE/1994), y usando instrumentos basados en el background familiar y en la disponibilidad de universidad, las estimaciones de los rendimientos a partir de variables instrumentales son mayores que las estimaciones MCO (10 por ciento frente a un 6 por ciento, respectivamente) (142) .
Arrazola et al. (2003), usando también los datos proporcionados por la primera ola del Panel de Hogares de la Unión Europea para España en 1994, estiman tasas internas de rentabilidad privadas (sociales) del 10,3 por ciento (8,1%) para los estudios básicos, 10 por ciento (7,7%) para los estudios de bachillerato y 9,7 por ciento (7,6%) para los estudios universitarios de ciclo largo (143) . En el mismo trabajo, y con la misma fuente de datos, la estimación por MCO de la «ecuación de Mincer» arroja una tasa de rendimiento de la inversión en educación para España del 6,5 por ciento, aumentando hasta el 8,2 por ciento si la estimación de la ecuación salarial se hace aplicando variables instrumentales —a partir de una muestra de asalariados (hombres)—. Como instrumentos usan los efectos que sobre los logros educativos de la población española ejercieron tanto la Guerra Civil española como la introducción de la Ley General de Educación de 1970.
Marcenaro y Navarro (2005), usando también los datos proporcionados para España por la primera ola del PHOGUE, estiman modelos de ganancias por sexo y tramos de edad, una vez controlado el sesgo de selección muestral, a fin de examinar cómo el mercado valora las distintas titulaciones ofrecidas por el sistema educativo. El trabajo encuentra que: (i) el rendimiento de la educación en España se incrementa a medida que se avanza en la jerarquía del sistema escolar; (ii) la formación es en general más rentable para las mujeres que para los hombres; y (iii) los títulos de mayor nivel, al menos para los varones, no se han depreciado en el tiempo, a pesar de su abundancia relativa (144) .
b) Transición del sistema educativo al empleo
b.1. Encuesta Sociodemográfica que acompañó al Censo de 1991
Lassibille et al. (2001) encuentran un efecto muy significativo del nivel de estudios de los jóvenes en la duración del desempleo. Como cabía esperar, los universitarios constituye el grupo que tiene menores dificultades en encontrar un primer trabajo en menos de 18 meses, estando los diplomados universitarios en mejor situación que los licenciados (145) .
b.2. Encuesta de Población Activa (EPA)
Utilizando los datos de la EPA en su versión longitudinal, Albert et al. (2000) analizan la transición del sistema educativo al mercado de trabajo de los jóvenes menores de 35 años en el período 1992-1999. Sus resultados apuntan a que el background familiar no es relevante en la transición al mercado de trabajo pero sí los factores cíclicos, destacando la importancia de la expansión económica de finales de los noventa como factor acelerador de las salidas del sistema educativo y de las entradas en el empleo (146) .
b.3. Módulo ad hoc de la EPA del año 2000
Entre los trabajos aplicados que usan el módulo ad hoc encontramos el de Albert et al. (2003) y el de Corrales y Rodríguez (2003). Albert et al. (2003), usando un modelo logit multinomial, muestran que la probabilidad de que el primer empleo obtenido, tras abandonar el sistema educativo, sea significativo —duración de al menos seis meses y un horario semanal de al menos 20 horas— es mayor entre los universitarios y entre aquellos que terminaron formación profesional de grado superior. Por campos de especialización, administración de empresas, ingenierías, informática y ciencias de la salud, principalmente, proporcionan una mayor empleabilidad a los jóvenes. Por su parte, el trabajo de Corrales y Rodríguez (2003), a partir de modelos de supervivencia, demuestra que la duración del proceso de transición se ve influida por factores personales —la duración del primer desempleo se reduce con el nivel de estudios alcanzado—, por factores familiares —los jóvenes con padres con mayores niveles de estudios encuentran menores dificultades a la hora de encontrar el primer empleo significativo y lo mismo ocurre con aquellos que sus padres están ocupados— y por factores cíclicos y socioeconómicos que reflejan la situación económica de cada momento dado y el lugar de residencia (147) .
c) Desajuste educativo
c.1. Encuesta sobre Condiciones de Vida y Trabajo (ECVT) de 1985
Alba-Ramírez (1993) explota la ECVT para analizar el grado de adecuación entre la preparación académica necesaria para desempeñar un puesto de trabajo, y el nivel de instrucción real poseído según declaración de los trabajadores. A partir de la pregunta: «¿Qué tipo de educación necesita una persona para desempeñar su trabajo?», concluye que el 60 por ciento de los trabajadores tienen un nivel educativo adecuado para el puesto que desempeñan (adecuadamente educados), el 23 por ciento están infraeducados y el 17 por ciento, sobreeducados (148) .
c.2. Encuesta de Estructura, Conciencia y Biografía de Clase (ECBC) de 1991
García Serrano y Malo (1996) analizan el fenómeno del desajuste educativo con los datos de la ECBC. La pregunta a partir de la cual se construye la clasificación del emparejamiento con el puesto es la siguiente: «¿Qué nivel de estudios cree usted que es, actualmente, el más adecuado para realizar el trabajo que usted desempeña/ba». La proporción de individuos adecuadamente educados es del 41,7 por ciento; la de infraeducados, del 30 por ciento; y la de sobreeducados, del 28,4 por ciento (149) .
c.3. Encuesta de Población Activa (EPA)
García Montalvo (1995) aborda el tema del desajuste educativo tomando como referencia del nivel educativo de una ocupación los años promedio de los trabajadores empleados en dicha ocupación, determinando una situación de desajuste a partir de una desviación típica por encima o por debajo de esa media. Sus resultados, con datos de la Encuesta de Población Activa de 1993, muestran que: el 84,9 por ciento de los ocupados de la economía española estarían adecuadamente educados; el 8,9 por ciento sobreeducados; y el 6,2 por ciento infraeducados (150) .
d) Formación en el empleo
d.1. Panel de Hogares de la Unión Europea (PHOGUE)
Con datos individuales del PHOGUE-94, Peraita (2000) analiza los determinantes de la participación de un trabajador en formación organizada por la empresa. Las estimaciones de un modelo probit revelan que la probabilidad de recibir formación está relacionada positivamente con el número de empleados de la empresa y con el nivel educativo del trabajador. Adicionalmente, trabajar en el sector financiero aumenta la probabilidad de recibir formación (151) .
e) Satisfacción laboral
e.1. Proyecto CHEERS
Usando datos de la encuesta CHEERS, Mora et al. (2005) analizan los factores —características individuales y características del puesto de trabajo— que pueden tener los principales efectos sobre la satisfacción laboral. Los autores hallan niveles similares de satisfacción entre hombres y mujeres, a pesar de las condiciones de trabajo más duras de las mujeres. La edad y el background educativo familiar tienen un efecto positivo en la satisfacción. Obviamente, los graduados están más satisfechos cuanto mayor es su salario, incluso cuando trabajan en el sector público y en grandes empresas (152) .
f) Demanda educativa
f.1. Encuesta sobre Condiciones de Vida y Trabajo (ECVT) de 1985
Peraita y Pastor (2000) examinan qué factores explican que los/as niños/as abandonen la escuela primaria en España —alumnos que abandonan el sistema educativo sin obtener el título de Graduado Escolar—. Usando la ECVT, los resultados del modelo de regresión logística revelan que tanto las variables de background socioeconómico de la familia como las condiciones del mercado de trabajo juvenil son factores significativos que influyen sobre la tasa de abandono. Aquellos que provienen de familias con un bajo estatus socioeconómico tienen más probabilidad de abandonar los estudios (153) .
f.2. Encuesta de Presupuestos Familiares 1990/91
Mora (1997) presenta un modelo logístico que evalúa la influencia de diferentes características familiares y sociales de un individuo en su decisión de matricularse en la universidad. Sus principales conclusiones, con datos de la EPF-90/91, son que, por un lado, ha habido una mejora en la equidad en el acceso a la educación superior en España y, por otro lado, el nivel educativo de la familia es el factor más importante en la decisión de ir a la universidad (154) .
Usando también esta base de datos, y a través de un análisis por medio de modelos logit, González y Dávila (1998) muestran que el acceso a la educación universitaria en España está significativamente influido por la renta familiar. Incluso un factor más determinante es el nivel cultural y educativo de la familia del potencial estudiante (155) .
f.3. Panel de Hogares de la Unión Europea (PHOGUE)
En base a los datos microeconómicos que proporciona la primera ola del Panel de Hogares de la Unión Europea para España, Marcenaro y Navarro (2001) estudian los factores que incitan a los jóvenes a acceder a la universidad, estimando para ello un modelo probit bivariante. Uno de los principales resultados obtenidos señala que la influencia de la situación económica familiar sobre las elecciones educativas del estudiante es significativa y positiva, tanto en lo que respecta a la probabilidad de finalizar los estudios secundarios como a la de demandar estudios superiores, siendo el efecto de esta variable mayor en los hombres que en las mujeres. En lo que respecta propiamente a la demanda universitaria, el disfrute de una beca fomenta de forma sustancial esta demanda para ambos sexos. Lo contrario sucede si el joven, hombre o mujer, ha finalizado con retraso la educación secundaria (156) .
f.4. Encuesta de Población Activa (EPA)
Albert (2000) utiliza los modelos de elección discreta para estudiar el papel de diferentes factores en la demanda de educación superior en España (157) . Con datos de la EPA del segundo trimestre desde 1987 hasta 1998, obtiene que: (a) el tener padres cuyo nivel educativo es alto aumenta la probabilidad de ir a la universidad —la educación de la madre es más decisiva que la del padre para demandar educación universitaria—; (b) un alto estatus socioeconómico del padre también aumenta la probabilidad de demandar educación superior; y (c) el género tiene un efecto importante en el sentido de que ser un hombre tiene un efecto negativo en la decisión de ir a la universidad. En este estudio la autora considera que un individuo ha demandado educación superior si ha obtenido un título universitario o está estudiando en la universidad en la semana de referencia. La población elegida son jóvenes de entre 19 y 24 años.
g) Financiación de la educación
g.1. Encuesta de Presupuestos Familiares 1990/91
Los datos de la EPF-90/91 son empleados por Beneito et al. (2001) para analizar los factores que determinan el gasto en educación secundaria y universitaria. A partir de una especificación Tobit muestran que el estatus social y económico de la familia tiene un comparativamente mayor impacto en el gasto del hogar en educación secundaria que en educación superior. El coste de oportunidad es también una variable decisiva en la decisión de invertir en educación secundaria —los resultados son menos concluyentes en el caso de la educación universitaria— (158) .
En relación con los estudios sobre eficiencia, en los últimos años se ha generalizado el uso del análisis envolvente de datos (DEA) para evaluar la eficiencia interna de los centros educativos, principalmente institutos de enseñanza secundaria (IES). Como ya adelantáramos, hasta ahora, los trabajos de investigación publicados en España sobre eficiencia de los IES se han basado en datos recopilados por los propios autores de estos trabajos. Destacamos el análisis DEA de los centros públicos de secundaria de Zaragoza, Principado de Asturias, Murcia y Alicante. En el primer caso, se identifica un tercio de los institutos como ineficientes cuando se analiza su producción de alumnos aprobados en selectividad (Mancebón y Bandrés, 1999) (159) . En el segundo caso, el análisis muestra una ineficiencia superior de los nuevos centros adaptados a la reforma educativa (LOGSE) en comparación con los tradicionales institutos de BUP-COU (Muñiz Pérez, 2000) (160) . En el caso de Murcia, la mitad de los institutos murcianos muestran alguna ineficiencia en su producción de conocimientos para que los alumnos superen las pruebas de selectividad (Gómez et al., 2003) (161) . Finalmente, Hernández Pascual y Fuentes Pascual (2003), tras realizar el análisis DEA sobre los centros docentes de bachillerato de la provincia de Alicante en el año académico 1997/98, encontraron 15 centros eficientes y 29 ineficientes; la preocupación por atajar problemas de disciplina, la coordinación docente entre los profesores o la implicación de los padres en el proceso educativo podían explicar el incremento de la eficiencia en los centros educativos (162) .
2.3.3. Limitaciones y perspectivas
Como puede observarse, los últimos quince años han sido tiempos de frutos importantes en economía de la educación en España, que han hecho que este campo se vaya consolidando como una rama del análisis económico con identidad propia, aunque sin negar su imbricación con otras ramas de la economía como la economía laboral o la economía del sector público. No obstante, gran parte de la investigación empírica realizada se ha planteado como la réplica de algún trabajo referido a los países anglosajones (sobre todo EE.UU.) ya publicado, sobre todo en el tema de los rendimientos de la educación. El carácter de “réplica” con datos españoles de muchos de los trabajos y la falta de un marco conceptual propio, adaptado a lo que en principio debía ser un entorno institucional distinto, explican probablemente que las investigaciones se hayan difundido, principalmente, en las revistas académicas nacionales, sin que ninguno de ellos se haya convertido en referencia internacional. No es menos cierto que en España la investigación aplicada en este terreno ha venido teniendo la dificultad de la carencia de información básica necesaria para avanzar en el conocimiento. Carencias que cada vez se sienten en forma más acusada, no porque haya menos estadísticas sino porque su calidad es baja, en general, y porque dado el avance de los modelos de análisis, la divergencia entre las posibilidades que brinda la teoría y la información real que posibilite su aplicación es mayor.
Además, creemos que debería primar una investigación comprometida con la realidad, en la que los trabajos sirvan de orientación y apoyo a quienes han de tomar decisiones. Probablemente, para que se apoye la investigación no basta sólo con el reconocimiento social, sino que es preciso que quienes adoptan decisiones de asignación de recursos consideren la necesidad o la utilidad de estas actividades. Por ejemplo, se observa, en general, una escasez de trabajos que investiguen empíricamente la relación entre educación y crecimiento económico, y el papel que han jugado las inversiones en capital humano de las últimas décadas en el desarrollo de nuestra economía, dado el aumento significativo de los niveles de formación de la población española. Quizás sea ésta una parcela de la economía de la educación en la que los economistas españoles nos centremos en los próximos años. Igualmente, otras parcelas de la economía de la educación descuidadas en nuestro país, y que deberían formar parte de las investigaciones futuras en esta disciplina, son, principalmente, dos: por un lado, la evaluación del sistema educativo universitario en aspectos relacionados con la deserción universitaria —con el consiguiente despilfarro de gasto público que conlleva—, o con el tiempo medio de formación de los titulados —esto es, cuántos años tardan los graduados en completar sus estudios—; por otro, el estudio de las trayectorias académicas y laborales de los estudiantes para conocer cómo eligen sus carreras, cómo es su inserción en el mercado laboral y cuáles son las características de sus empleos (ingresos, desajuste educativo, etc.).
Por último, una cuestión que tendrá que resolver la economía de la educación en el inmediato futuro es su relación con el resto de ciencias sociales como la psicología, o la sociología. La situación ha cambiado y ahora la economía se interesa mucho más por la conducta de las personas y de las organizaciones por lo que es lógico que se produzca alguna fricción hasta que cada ciencia social encuentre su sitio o que finalmente la dialéctica científica demuestre que alguna es superior a las demás.
2.4. La enseñanza de la economía de la educación
La asignatura «Economía de la Educación» pretende dar a conocer la forma en que se abordan los problemas económicos que comporta el suministro de educación en situaciones de limitación de recursos. Comparada con otros campos de la economía, la economía de la educación es una disciplina relativamente nueva. El propio Mark Blaug reconoce que en 1962, cuando el director del Instituto de Educación de la Universidad de Londres le habló de que había sido incapaz de cubrir una vacante en este campo, «nunca había oído hablar de algo que se llamara ‘la economía de la educación’» (Blaug, 1994, p. 19) (163) . En el caso español, su consolidación académica llegó a mediados de los noventa con su incorporación formal en los planes de estudios universitarios como una materia troncal del segundo ciclo de la Licenciatura en Pedagogía en las Facultades de Ciencias de la Educación —también como asignatura optativa en la Licenciatura en Economía en algunas Facultades de Ciencias Económicas— con una carga lectiva de 6 créditos, desglosados en 4 créditos de carácter teórico y 2 créditos de contenido práctico (164) . A nivel internacional, esta disciplina tiene una mayor tradición en los estudios universitarios reglados y se estudia normalmente en programas de postgrado (máster y doctorado). Así, prestigiosas universidades europeas como la de Dijon (Francia) o la de Londres (Reino Unido), y afamadas universidades norteamericanas como Columbia (Nueva York) o Stanford (California), ofrecen programas de postgrado en economía de la educación en los que existen, por lo general, un planteamiento multidisciplinar para abordar el estudio de la educación, en el que el análisis económico se complementa con la sociología, la pedagogía o la ciencia política (165) .
En relación con los aspectos tratados, los cuadros 1 a 4 presentan los temas de estudio en los cursos de economía de la educación, tanto en universidades españolas como extranjeras. Se observa que, en general, los contenidos hacen referencia a:
La eficiencia del sistema educativo: eficiencia externa en lo relativo a establecer prioridades de la política pública, y eficiencia interna en relación con el mejor uso de los recursos disponibles —lo que involucra la organización del sistema, las características de las instituciones y la tecnología de producción de educación—.
Las principales razones por las cuales el Estado financia la educación, las distintas formas que puede adoptar ese financiamiento y los diferentes costes de proveer el servicio.
Las relaciones existentes entre el sistema educativo y el mercado laboral.
La teoría y la evidencia que relacionan la educación con el crecimiento económico.
Cuadro 1. La Economía de la Educación como asignatura troncal de la Licenciatura en Pedagogía
Cuadro 2. La Economía de la Educación como asignatura optativa de la Licenciatura en Economía
Cuadro 3. La Economía de la Educación en los programas de postgrado españoles
Cuadro 4. La Economía de la Educación en los programas de postgrado internacionales
En relación con el material didáctico utilizado en nuestro país, no existe un manual que recoja una visión completa de un curso de economía de la educación, como ocurre en los cursos de introducción a la economía donde manuales tipo Samuelson cubren los contenidos de estos cursos. No obstante, y como refleja la información de los cuadros 1 a 3, han aparecido en los últimos años una serie de obras que permiten trabajar los diferentes contenidos del programa de la asignatura: (i) Economía de la educación, editado por Esteve Oroval Planas (166) ; (ii) Economía de la educación, de José Luis Moreno Becerra (167) ; (iii) Perspectivas económicas de la educación, editado por Javier Ventura Blanco (168) ; (iv) Aspectos económicos de la educación, de Manuel Salas Velasco (169) ; (v) Economía de la educación, de María Jesús San Segundo (170) ; (vi) Manual de economía de la educación, de Gérard Lassibille y María Lucía Navarro Gómez (171) ; y (vii) Economía de la educación, de Martin Carnoy (172) . En los programas internacionales, los estudiantes disponen de una serie de libros que cubren los contenidos (principalmente teóricos) de los cursos de economía de la educación, destacando: (i) Economics of Education, editado por George Psacharopoulos (173) ; (ii) The Economics of Education, de Elchanan Cohn y Terry G. Geske (174) ; (iii) The Economics of Education, de Geraint Johnes (1993) (175) ; (iv) International Encyclopedia of Economics of Education, editada por Martin Carnoy (1995) (176) ; y (v) What's the Good of Education?, editado por Stephen Machin y Anna Vignoles (177) . Pero la forma más común de trabajar la materia es a partir de artículos de investigación aparecidos en revistas internacionales —como Economics of Education Review, Higher Education, Education Economics, etc.— que los alumnos deben leer y trabajar con antelación para cada sesión (178) .
No obstante, donde sí se observan importantes diferencias es en relación con los métodos de enseñanza y los sistemas de evaluación. En España, debido principalmente a la masificación y sobrecarga de docencia de los profesores universitarios, el método docente más utilizado, sobre todo en los cursos de «Economía de la Educación» de las Facultades de Educación donde ésta es una asignatura troncal, es la lección magistral, que en la mayoría de las ocasiones se reduce a una mera exposición o transmisión de conocimientos teóricos y, consecuentemente, favorece la pasividad del alumno. Aunque las clases magistrales se complementen con sesiones de prácticas, éstas se limitan en la mayoría de las ocasiones a resolver algunos problemas en clase y a discutir algunas lecturas. Y la evaluación de la asignatura consiste principalmente en un examen final de los contenidos mostrados por el profesor a lo largo del curso. En los programas internacionales, por el contrario, el trabajo autónomo del estudiante es un elemento fundamental en el planteamiento educativo. En estos programas, los cursos de economía de la educación —normalmente dirigidos a estudiantes de postgrado— se estructuran en torno a sesiones intensivas y monográficas sobre un tema (en torno a 3 horas semanales). Al trabajar con un número reducido de estudiantes (entre 15 y 20 alumnos), las metodologías activas de enseñanza son predominantes, sobre todo discusión de casos en pequeños grupos, debates y clases prácticas en la sala de ordenadores (179) . Para superar el curso normalmente el alumno debe realizar uno o varios ensayos y/o un trabajo de investigación que presentan normalmente en formato de paper (sobre todo si son estudiantes de doctorado).
Finalmente, debemos señalar que aunque la incorporación formal a la carrera de Pedagogía como asignatura troncal supuso una conquista de los economistas de la educación, que lucharon para esta disciplina estuviera presente en los currículos universitarios, no obstante enseñar esta materia en las Facultades de Educación no es una tarea fácil. Los inconvenientes son debidos principalmente a:
El perfil del alumnado de la carrera
Se trata de estudiantes que no están familiarizados con la teoría económica, con sus métodos y su terminología —al no tener conocimientos previos en economía—, y ya sabemos que los economistas no destacamos precisamente por intentar traducir nuestras discusiones a un lenguaje de comprensión común. Este hecho le obliga al profesor a tener que destinar parte de su tiempo de docencia a presentar los aspectos más relevantes de la economía que son necesarios para entender la materia.
El carácter troncal de la asignatura
Al ser una asignatura que deben cursar obligatoriamente todos los estudiantes, se crean situaciones claras de desmotivación. Por un lado, porque los alumnos de esta carrera no han desarrollado la habilidad que se requiere para el entendimiento de la asignatura, como el manejo de gráficos y números, al provenir la mayoría de humanidades en secundaria, lo que hace que muchos estudiantes vean la «Economía de la Educación» como una asignatura dura y difícil de seguir, por lo que muchos de ellos dejan pronto de ir a clase. Por otro lado, porque muchos de los estudiantes creen que es una disciplina que no les será de utilidad en su futuro profesional; ven la asignatura como muy distinta al resto de materias de la carrera.
El docente de esta materia se enfrenta, en definitiva, al reto que comporta enseñar economía a no economistas. Sería aconsejable, por tanto, que adoptara una metodología que, partiendo de lo que los alumnos conocen y piensan con respecto a la materia, fuera capaz de conectar de forma atractiva con sus intereses y necesidades. Se trata, en suma, de adoptar una metodología que posea un sentido claro para los alumnos, a la vez que promueva su desarrollo conceptual, procedimental y actitudinal.
A nivel internacional la situación es diferente. Además de la mayor tradición (y buena reputación) de esta materia en el ámbito universitario, el perfil del alumnado es muy distinto. Al contemplarse esta disciplina normalmente en programas de postgrado, como hemos adelantado, el alumnado está mucho más motivado, y también “filtrado” —al existir una selección previa—. Además, los estudiantes que consiguen especializarse en esta disciplina sí que tienen abiertas las puertas del mercado laboral, debido a que los gobiernos tienen puestos destinados a estos profesionales en sus departamentos de educación y también en institutos de investigación (que hay muchísimos en Norteamérica). Por ejemplo, el Departamento de Educación de los Estados Unidos, con sede en Washington D.C., recluta todos los años a los mejores graduados del programa Economics and Education del Teachers College (Universidad de Columbia).
2.5. Conclusiones
La economía de la educación, a pesar de ser una disciplina relativamente nueva, es hoy en día un campo acreditado a nivel internacional que ha ido adquiriendo un mayor peso en la actividad investigadora, en la enseñanza universitaria y en la gestión educativa. Este mayor protagonismo es debido, entre otras razones, a las dificultades financieras a las que se vienen enfrentando los centros educativos, las nuevas necesidades formativas surgidas de los importantes cambios tecnológicos experimentados por la economía, o los problemas relacionados con el paro de los graduados. Los métodos y las herramientas del análisis económico, aplicados a la educación, ofrecen soluciones, o al menos orientaciones, a todos estos problemas.
Aunque el origen de esta rama de la economía está estrechamente vinculado a los trabajos empíricos de los factores determinantes del crecimiento económico, demostrando el papel destacado de la educación como motor del progreso económico, y de los efectos de la educación sobre los salarios y la distribución de la renta, no obstante, la economía de la educación también dirige actualmente su atención hacia otros temas, como la financiación de la educación, el estudio de las relaciones educación-empleo, la demanda educativa o la evaluación de la eficiencia productiva de los centros educativos.
Sin embargo, la presencia de economistas europeos es aún escasa, estando el panorama dominado por norteamericanos. Prueba de ello está en que de los 67 autores que participan en la International Encyclopedia of Economics of Education, tan sólo 7 son europeos (3 ingleses, 2 holandeses, 1 francés). Esperemos, este es nuestro deseo, que en los próximos años esta disciplina vaya teniendo una mayor presencia en la comunidad científica educativa en Europa y en España.