Capítulo 1
Distribución de la energía eléctrica
1. Introducción
En el presente capítulo se estudiarán las diferentes formas de distribuir la energía eléctrica conociendo la tipología comúnmente empleada para la red eléctrica, así como la estructuración de la misma.
Además se detallarán los elementos de los que se compone el sistema de distribución de energía eléctrica atendiendo a las diferentes tensiones que pueden encontrarse en la red. Asimismo se describirán los diferentes tipos de subestaciones, centros de transformación y líneas de transporte eléctricas que conforman una red de distribución eléctrica.
Se abordarán los elementos que componen una línea aérea, así como los elementos auxiliares de protección, maniobra y sujeción necesarios y establecidos por normativas e instrucciones, tanto de las administraciones públicas encargadas como de las compañías distribuidoras.
Finalmente se presentará la simbología empleada en el ámbito de la distribución de la energía eléctrica además de incidir en la aplicación práctica para la interpretación de planos tanto de líneas eléctricas como de obra civil o topográficos.
2. Tipos de distribución
La energía puede presentarse en diversas formas: mecánica, térmica, química, nuclear, magnética, etc., sin embargo la forma elegida para el abastecimiento de núcleos poblacionales es la energía eléctrica, aunque en origen provenga de la transformación de alguna de las fuentes anteriores.
Bombillas
Por motivos técnicos y económicos tanto la generación como la transmisión y distribución de la energía eléctrica se realiza mediante sistemas eléctricos trifásicos. Un sistema trifásico no es más que la agrupación de tres líneas o conductores llamadas fases donde existe una tensión eléctrica desplazada en 120º. También existen sistemas formados por una sola fase que son denominados monofásicos. Ambos sistemas necesitan de un conductor sin carga llamado neutro cuya función es producir un diferencial de potencia que haga circular la electricidad.

Sabía que...
La energía eléctrica está formada por la tensión (voltaje) y la intensidad (amperaje).
La tensión es el trabajo necesario para desplazar una partícula cargada mediante un campo eléctrico.

La intensidad es el flujo de electrones que circulan por un conductor.

La fuerza que se opone al paso de la electricidad es la resistencia. En la naturaleza existen materiales que ofrecen baja resistencia al paso de los electrones (conductores) y materiales que apenas permiten el flujo de estos (aislantes).
Generalmente el tipo de corriente que se emplea para el transporte en las líneas de distribución es corriente alterna (CA) trifásica. También puede hacerse uso de la corriente continua (CC), pero se reserva para casos especiales donde la potencia a transportar por la línea entre subestaciones es muy elevada y las distancias que las separan entre sí muy amplias.
2.1. Ventajas de un sistema trifásico
El uso del sistema trifásico en lugar de uno monofásico presenta las siguientes ventajas:


2.2. Distribución de un sistema trifásico
Para mantener la distribución de un sistema trifásico es necesario establecer un conexionado de las cargas que permita un desfase de 120º, a continuación pueden verse los esquemas de conexionado más habituales.
Triángulo
Para este tipo de conexión las tensiones de fase coinciden con las tensiones de línea, mientras que las corrientes de fase son distintas a las de línea. Esto se produce porque la conexión de las tres fuentes generadoras de electricidad se conectan entre sí, como se observa en la imagen siguiente.
Conexionado de las cargas en triángulo. Este sistema de conexión se designa con la letra D.

Nota
A la intensidad que circula por un cable también se le denomina corriente. En este caso existe una corriente o flujo de electrones circulando a través del hilo conductor o cable.
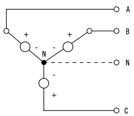
Estrella
En el caso del conexionado de las cargas en estrella las corrientes de fase y de línea son las mismas, sin embargo las tensiones son diferentes. Ello es debido a que cada fuente generadora se conecta directamente con la línea.
Conexionado de las cargas en estrella. Este sistema de conexión se designa con la letra Y.

Importante
Las cargas conectadas en serie mantienen la misma Intensidad mientras que sus tensiones se suman.
Las cargas conectadas en paralelo mantienen la misma tensión mientras que sus intensidades se suman.
Grupos de conexionado
En la práctica las conexiones se realizan mediante grupos de conexión, que consisten en emplear dos de los sistemas anteriormente estudiados. Mediante los grupos de conexión se pueden obtener una serie de ventajas que permiten diseñar una red eléctrica con unas condiciones técnicas favorables a la finalidad de su uso. A continuación se expondrán los esquemas más habituales:

Recuerde
Para establecer un conexionado en un sistema trifásico las cargas deben mantener un desfase de 120º.

3. Tipología y estructura de las redes
Se denomina red eléctrica al conjunto de líneas y elementos que tienen por misión transportar y acondicionar la energía eléctrica desde las diferentes centrales generadoras, hasta el punto de consumo, incluyendo las subestaciones y los centros de transformación. En definitiva, una red eléctrica es un sistema interconectado que permite abastecer de energía eléctrica a los usuarios.
3.1. Estructura de una red eléctrica
Los elementos que conforman una red eléctrica son:

Las líneas eléctricas e instalaciones cuya tensión está por debajo de los 220 kV conforman la red de distribución.

3.2. Tipos de redes
Las redes se clasifican en varios grupos, dependiendo de las características y disposición de la misma, así como de los elementos necesarios para su constitución.
Así pueden encontrarse los siguientes tipos.
Red de anillo
Está formada por una Línea de Alta Tensión que puede albergar un número máximo de 10 Centros de Transformación cuyo enlace está cerrado en forma de círculo formando un anillo. En esta red también se incluye las Líneas de distribución de Baja Tensión que salen de los Centros de Transformación. Una red en anillo permite seguir abasteciendo a la red de distribución aún cuando se produzca un fallo en uno de los transformadores, el inconveniente es el coste que supone establecer este tipo de instalación.

Red de lineal
En el caso de la red lineal, esta no se encuentra cerrada, sino que los centros de transformación se distribuyen a lo largo de la línea de alta tensión, conectándose uno tras otro hasta un máximo de diez. En esta ocasión las líneas de distribución de baja tensión también forman parte de la red lineal. Cuando se produce un fallo en uno de los transformadores el resto que dependen de él pueden quedar desabastecidos.

Red de baja tensión
Está formada por el conjunto de las líneas de baja tensión cuya misión es enlazar el centro de transformación con la línea privada.

Red de anillos múltiples
Una red de anillos múltiples se forma cuando se conectan a una misma subestación varias redes de anillos.

Red de huso normal
La red de huso normal está formada por un máximo de seis líneas de alta tensión donde uno de sus extremos está conectado a un centro de reflexión y por el otro a una subestación o centro de reparto, siempre manteniendo un máximo de diez centros de transformación por cada línea de alta tensión.
Red de huso múltiple
La red de huso múltiple se constituye por varias redes de huso normal conectadas a una misma subestación o centro de reparto.
Esquema de una red de huso múltiple
Red de huso apoyado
Esta red se emplea cuando existen dos líneas de capacidad y se prevé ampliaciones de la red o conexiones con otra. Está formada por seis líneas de alta tensión conectadas a dos subestaciones e interconectadas entre sí.

Ejemplo
Cuando se prevé el crecimiento en el consumo eléctrico de una zona o un territorio, bien por la extensión de una gran ciudad o por la construcción o ampliación de un polígono industrial donde existen dos líneas conectadas a dos subestaciones se establecen redes de huso apoyado.

Aplicación práctica
“Instalaciones Eléctricas”, que es la empresa donde trabaja, ha sido contratada por el consistorio local para desarrollar y construir la red eléctrica que abastecerá a la ampliación de una zona residencial en cuya parte oeste de la ampliación se tiene previsto la construcción de un hospital que no debe quedar desabastecido en caso de fallo de la red. Con plan de futuro se espera que la ciudad crezca en esa dirección, por lo que la instalación debe preverse de forma que permita ampliaciones futuras. Como ayudante de diseño técnico debe aportar sus ideas para el desarrollo del proyecto ajustándose a las condiciones previstas.
Indique el tipo o los tipos de redes más apropiadas para realizar la instalación y justifique los motivos que le han llevado a su elección. La red será abastecida por una subestación cercana destinada a tal fin.
SOLUCIÓN
La instalación que se va a realizar servirá de base para futuras ampliaciones, además de esto hay que tener en cuenta que está previsto la construcción de un hospital en la zona oeste de la ampliación y que no debe quedar desabastecido. Debido a esto último se descarta establecer una red de tipo lineal ya que un fallo en un centro de transformación podría dejarlo desprovisto de electricidad. En este caso lo mejor es proyectar una red de abastecimiento de tipo anillo, que además de mantener el abastecimiento de la red de distribución, servirá de base para las futuras instalaciones de ampliación que podrán instalarse formando un tipo de red de anillos múltiples. Además debe instalarse la red de baja tensión encargada de suministrar a los puntos de consumo la energía proveniente de los centros de transformación de la zona residencial.
4. Líneas de transporte y distribución. Tensiones
En la mayoría de los casos la centrales generadoras de electricidad se encuentran a grandes distancias de las zonas de consumo. Esto se debe en parte a que los recursos para generar esa electricidad se encuentran en determinadas zonas alejadas de los núcleos urbanos, es el caso de las centrales hidroeléctricas que deben ubicarse en zonas donde se produzcan grandes saltos de agua que puedan mover las turbinas y generar electricidad; por otra parte la normativa obliga a ciertas centrales a situarse a una determinada distancia del núcleo poblacional. Debido a esto existe la necesidad de transportar energía eléctrica a grandes distancias.
Para reducir las pérdidas de energía eléctrica durante el transporte a causa del Efecto Joule, se eleva la tensión para bajar al mínimo posible la intensidad de la corriente circulante por la línea, de esta forma no solo se consigue disminuir las pérdidas, sino que también se reduce el coste económico de la instalación al reducirse la sección de conductor necesaria.

Nota
Cuanto mayor es la potencia transportada y la distancia entre las centrales y el punto de consumo, mayor debe ser la tensión de la línea.
4.1. Tipos de líneas
Las líneas que sirven tanto para el transporte de la energía como para su distribución a fábricas, industrias y ciudades, en función de su instalación pueden clasificarse de la siguiente manera.

4.2. Líneas de transporte
Las líneas de transporte en su mayoría son líneas aéreas de tensiones nominales superiores a 220 kV. El objeto principal de dichas líneas es transportar la energía generada en las centrales eléctricas hasta los diferentes puntos de consumo, tales como grandes ciudades, polígonos industriales, etc.
El conductor está soportado por grandes torretas metálicas provisto de varias crucetas, estas líneas suelen estar constituidas por varios circuitos eléctricos independientes, la cantidad de crucetas instaladas en la torreta será igual al número de circuitos existente en la línea.
Torreta metálica para línea de transporte
Para proteger las líneas de posibles descargas eléctricas procedentes de rayos, se dotan a estas estructuras de un conductor enterrado bajo tierra.

Nota
Actualmente todas las redes españolas de transporte están gestionadas por la empresa Red Eléctrica de España (REE).

4.3. Líneas de distribución
Son todas aquellas líneas cuya tensión está por debajo de los 220 kV, estas líneas sirven para abastecer a los usuarios sirviendo de enlace entre el punto de consumo y la subestación pasando por los centros de transformación.
Los tramos en los que se pueden diferenciar una línea de distribución son:
4.4. Tensiones
El Reglamento de Líneas Aéreas de Alta Tensión (RLAT) establece tres categorías para la clasificación tanto de las líneas de alta como baja tensión, en función de las tensiones nominales que soportan:

Sabía que...
En el ámbito profesional a las instalaciones con tensiones nominales entre 1 y 36 kV se le denomina media tensión. Este tipo de instalaciones son comunes en las líneas de distribución que finalizan en los centros de transformación.
5. Subestaciones y centros de transformación. Tipos
En una red eléctrica es necesaria la disposición de varias instalaciones que permitan salvar los obstáculos técnicos producidos al situar el centro de generación de energía en un lugar distinto al punto de consumo.
En las centrales eléctricas se produce energía eléctrica mediante un generador de corriente solidario a un motor que transforma la energía proveniente de los recursos de la naturaleza (viento, carbón, agua, etc.) en energía eléctrica.
Dependiendo del tipo de central, el tamaño de la misma, la materia prima que utilice, etc., las tensiones que generan las centrales pueden ser muy dispares e incluso distintas a lo largo de un día.
Parque eólico
En ocasiones las tensiones que se generan pueden ser inferiores a las necesarias para realizar el transporte de la energía a través de las líneas de transporte, es por ello que se instalan subestaciones elevadoras de tensión cuya misión es aportar la tensión necesaria a la red de transporte.
Por otra parte el usuario final de la energía requiere de tensiones mucho menores para su utilización doméstica o industrial, por lo que es necesario instalar centros de transformación que disminuyan la tensión y acondicione la energía al usuario según sus necesidades.
5.1. Subestación eléctrica
Las subestaciones eléctricas son instalaciones encargadas de modificar las tensiones, establecer el número de fases, regular la frecuencia, compensar el factor de potencia, rectificar anomalías eléctricas y conectar varios circuitos.
Tipos
Aunque existen múltiples criterios de clasificación de las subestaciones eléctricas, se van a distinguir a continuación según su función y su emplazamiento.
Según su función
Dependiendo de la finalidad para la que sean construidas, las subestaciones eléctricas pueden ser:

Nota
Al cambio en la tensión de la línea fruto de una subestación o centro de transformación, se le denomina nivel.
Según su emplazamiento
Dependiendo de la ubicación de la subestación pueden diferenciarse los siguientes tipos:
Subestación eléctrica de intemperie
5.2. Centro de transformación
El centro de transformación es el elemento que permite acondicionar en última instancia la tensión que va a ser suministrada al usuario. Es por tanto uno de los elementos esenciales en una instalación de alta tensión, ya que permite reducir las caídas de tensión que sufre la red en baja tensión. Su ubicación debe ser lo más cercana posible al punto de utilización.
Transformador de intemperie
El componente principal del centro de transformación, es el transformador, es esta máquina la que ejecuta las tareas de aumento o disminución de la tensión.

Nota
A la línea de mayor tensión del transformador se le denomina “lado de alta”, y al de menor tensión “lado de baja”.
Tipos de centros de transformación (CT)
En función de la instalación requerida, el tipo de alimentación, las características técnicas, etc., se pueden encontrar varias clases de centros de transformación.
Según su constitución
Atendiendo a las características técnicas de su ubicación se pueden diferenciar los siguientes tipos de centros de transformación:
Ejemplo de CT de interior prefabricado
Según su función
Se pueden distinguir dos clases de centros de transformación basados en la función que desempeñan:
Según su alimentación y tipo de red
Dependiendo del tipo de alimentación y la red a la que se conecte el centro de transformación, pueden encontrarse los siguientes tipos:
Clasificación de los Centros de Transformación

Aplicación práctica
El encargado del servicio técnico de redes de distribución de la compañía suministradora “Energía Eléctrica para el Ciudadano SA” ha recibido la queja de varios vecinos que habitan en la periferia de la ciudad, que aseguran que el suministro eléctrico de la zona sufre cortes de forma intermitente. Este encargado le muestra varios planos de la electrificación de la zona y juntos llegan a la conclusión de que puede deberse al servicio defectuoso de un transformador cercano a la zona afectada. Como no dispone de datos para identificar el tipo de transformador, decide trasladarse a la zona e inspeccionarlo. A partir de la imagen que se muestra a continuación, identifique el tipo de línea y centro de transformación del que se trata.

SOLUCIÓN
Se trata de una línea aérea con apoyo de fin de línea que descarga a un transformador de intemperie para el suministro en baja tensión.
6. Elementos de una línea aérea. Tipos
Se entiende por línea aérea, al conductor que se sustenta en un apoyo a cierta altura del suelo, para evitar exponer a las personas a riesgos eléctricos. Un mismo apoyo puede sostener varios conductores. La línea aérea es un tipo de instalación que permite trazar recorridos de conductores de forma rápida y económica. Sin embargo la hace muy vulnerable a efectos atmosféricos.
Líneas aéreas
Los elementos que componen una línea aérea son:
6.1. Apoyos
Los apoyos son los elementos que cumplen una doble función, por una parte sostener el conductor de forma segura, por otra elevar el conductor hasta una altura reglamentaria.
Los apoyos deben adaptarse al terreno y soportar fuerzas de compresión y flexión propiciados por el peso de los propios materiales que sustenta y la acción del viento que incide en ellos.
Apoyo de alineación
Tipos
Dentro de los apoyos pueden emplearse varios tipos dependiendo de las características del terreno, la tensión que transcurre por la línea, esfuerzos mecánicos a los que trabaja, etc.
Según el material
Por el material que lo constituye, pueden dividirse los apoyos en:
Según su funcionalidad
Por su funcionalidad, los apoyos pueden ser:
6.2. Armados
Se conocen con el nombre de crucetas o armados a los elementos dispuestos horizontalmente que se sitúan en la parte superior del apoyo, que aportan la sujeción y la distancia de seguridad suficiente entre el conductor y el apoyo, además de servir de soporte para todos aquellos elementos aislantes necesarios en el trazado de una línea aérea.
Independientemente del material constructivo del apoyo, generalmente las crucetas son de material metálico, cuya forma más empleada para la alineación de la línea es la cruceta de tipo bóveda.

Apoyo de hormigón con cruceta de tipo bóveda

Para las aplicaciones de amarre y anclaje de línea tanto en el principio como en el final de la misma, así como la formación de ángulos en las líneas, se emplean los armados o crucetas de tipo recto.

Tipos
Además de los armados más comunes anteriormente vistos, existen diversos tipos de armados en función de las necesidades constructivas de la línea, de los que se destacan los siguientes:






6.3. Conductores
El término conductor se refiere al hilo o grupo de hilos metálicos arrollados que permiten el paso de la electricidad ofreciendo muy poca resistencia.
Los materiales empleados para la conducción de la electricidad en las redes aéreas de Alta Tensión son el cobre y el aluminio. Las características que ofrecen estos materiales para la conducción de la electricidad son:
Los conductores o cables de las líneas están formados por varios hilos metálicos trenzados convenientemente para aportar características flexibles que faciliten el trazado de las líneas.
Al núcleo de hilos en el centro de un cable se le conoce por alma, algunos conductores de aluminio tienen el alma de hilos de acero para aportar mayor rigidez a las líneas que salvan grandes distancias.


Tipos
Los tipos de conductores empleados en una instalación de alta tensión son:
Conductores desnudos
Generalmente para las líneas aéreas se emplean conductores desnudos, es decir, hilos metálicos que carecen de algún recubrimiento para su aislamiento del exterior.
Los parámetros que se tienen en cuenta a la hora de escoger un tipo de cable u otro son:
Conductores desnudos
Conductores aislados
Los conductores aislados se emplean en líneas de alta tensión subterráneas, en casos muy especiales tales como trazados que discurren por zonas urbanas o en medio natural de gran valor ecológico, se aplica esta solución para trazados aéreos.
Conductores aislados de alta tensión
Esta clase de solución presenta la ventaja de eliminar las posibles descargas accidentales que puedan producirse por el contacto de un ave o una rama con el conductor. Sin embargo el coste es mucho mayor comparado con los conductores desnudos y además el peso para una línea aérea es mucho mayor.
6.4. Cimentaciones
Los apoyos necesitan descansar sobre una superficie consistente, que soporte los esfuerzos a los que se encuentran sometidas las líneas aéreas. Las cimentaciones proporcionan a los apoyos la estabilidad al vuelco originado por las acciones del viento y el tensado de la línea.
Bloque de cimentación para los apoyos
Como se puede observar en la imagen, la cimentación para los apoyos debe estar formada por un solo bloque continuo de dimensiones suficientes para la estabilidad del mismo.
Generalmente a través del bloque de cimentación discurre el conductor de tierra conectado a las masas hasta la pica que se encuentra bajo el mismo.


Definición
Masas
Cualquier elemento metálico que cumple tareas estructurales o constructivas en una instalación eléctrica, cuyo funcionamiento es ajeno al circuito eléctrico.

Nota
Todas lar partes metálicas de una instalación eléctrica deben estar conectadas a tierra para evitar situaciones de riesgo.

Aplicación práctica
“Monelec”, empresa en la que trabaja como técnico, se dedica al montaje de redes eléctricas tanto en alta como en baja tensión. Para terminar con la construcción de una línea privada, que permitirá electrificar una hacienda rural, falta por poner el último poste cercano a la entrada. Defina el tipo de apoyo que va a emplear y todos los elementos constructivos necesarios para finalizar la obra.
SOLUCIÓN
Se empleará un apoyo metálico fin de línea, ya que se trata del último apoyo, a dicho apoyo le instalará un armado de tipo L o plano, para cumplir con las funciones de amarre y anclaje. Al ser una instalación aérea en suelo rural podrá utilizar un conductor desnudo de aluminio. También tendrá que ejecutar la cimentación que servirá de base para el apoyo e instalar la pica a tierra.
7. Elementos auxiliares de protección, maniobra y sujeción
Como se ha mencionado anteriormente las líneas aéreas, además de estar compuestas por los elementos estructurales que permiten la sustentación del conductor en el aire, deben disponer de una serie de elementos que permitan la maniobra de la línea, así como elementos que aseguren la protección de la línea y de toda persona o animal que pueda estar en contacto con ella.
A continuación numeramos todos aquellos elementos que proporcionan a la línea la capacidad de maniobra, otorga la protección necesaria y permite la sujeción aislada del conductor.
7.1. Aisladores
Dado que muchos de los materiales empleados en la construcción de una línea de alta tensión son metálicos, y por tanto buenos conductores de la electricidad, es necesario que el elemento que sirve de unión entre la estructura soporte y el conductor desnudo sea de material aislante que evite de forma segura el paso de la corriente. Para conseguir esto se emplean los denominados aisladores, los cuales pueden ser unitarios o formar una cadena.
Los unitarios o rígidos están constituidos por un elemento aislante, generalmente de vidrio con un soporte metálico, que permite su unión a la cruceta. Su forma de campana permite la fijación del conductor en la parte de la garganta mediante una ligadura.
Aislador unitario
En la actualidad los aisladores unitarios se han sustituido por los aisladores de cadena, que pueden ser de porcelana, vidrio o de material sintético. El aislador de cadena consiste en colocar una serie campanas para asegurar el aislamiento del conductor, esto puede realizarse agrupando un determinado número de aisladores unitarios o bien crear un aislador de cadena en una sola pieza.
Aisladores de cadena
7.2. Herrajes
Los herrajes son piezas metálicas que permiten unir los aisladores a la cruceta y el conductor con el aislador.
Herrajes
Existen distintos tipos de herrajes tanto para la unión del aislador con la cruceta, como con el conductor, pero su función principal es asegurar la sujeción de las partes de forma segura.

En la siguiente imagen se puede apreciar la instalación de estos elementos.
Colocación de los herrajes
7.3. Seccionadores
El seccionador es un dispositivo mecánico cuyo objetivo es aislar una instalación eléctrica de su red de alimentación mediante el corte eléctrico. Es un dispositivo que para su desconexión depende de la manipulación de un operario.
Para su desconexión de forma segura es necesario seguir estos pasos:
Ejemplo de seccionador
7.4. Interruptores
Los interruptores son seccionadores de apertura y cierre brusco del circuito, produciendo el corte eléctrico de los polos al aire o en un medio aislante. Generalmente incorporan un resorte metálico que se acciona manual o automáticamente. Es uno de los elementos de maniobra fundamentales de cualquier circuito eléctrico.
Interruptores
7.5. Fusibles
Es un dispositivo que permite la protección de la línea, produciendo el corte del flujo eléctrico cuando se superan las tensiones admisibles de la línea, de esta forma evita que la línea se queme debido a una sobretensión.
Fusibles
7.6. Autoválvulas
Es un dispositivo que permite la protección de la línea contra sobretensiones, generalmente se emplean en aquellos apoyos que soportan el Transformador. Su misión es derivar a tierra la sobretensión que se produzca evitando el daño de la línea y/o transformador.
Autoválvulas

Aplicación práctica
Efectuando el mantenimiento de una línea aérea, observa que uno de los aisladores de un apoyo se encuentra dañado, ¿cómo procedería al corte de la línea?, ¿qué elementos debería sustituir?
SOLUCIÓN
Abriría el cuadro de protección y maniobra de la línea y activaría el seccionador de forma segura siguiendo estos pasos:
Los elementos que debería sustituir son todos aquellos que estén dañados, en este caso cambiaría el aislador por uno nuevo de las mismas características y mismo número de campanas. También sustituiría los herrajes que soportan al aislador y al conductor y, en caso de llevar autoválvulas, comprobaría que funcionan correctamente.
Finalmente pondría en conocimiento al jefe de mantenimiento las posibles causas que han producido el daño del aislador.
8. Interpretación de planos
El montaje de una red eléctrica aérea de alta tensión requiere del conocimiento, por parte del técnico montador de la interpretación correcta de los planos objeto de la instalación, para su correcta ejecución.
A continuación se estudiarán los tipos de planos y su interpretación.
8.1. Planos Topográficos
Los trazados de las líneas aéreas suelen ser lo más rectos hacia el punto de destino, con objeto de reducir costes en material conductor; esto muchas veces obliga a hacer pasar la línea por zonas de terreno irregular. Si se quiere trazar una línea aérea es necesario conocer el terreno, situando sus desniveles y los posibles obstáculos tales como árboles, edificios etc.
El plano topográfico dispone de una serie de líneas separadas unas de otras y acotadas, que permiten ver los desniveles existentes en el terreno, a estas líneas se les denomina líneas o curvas de nivel. Si las cotas de las líneas van de cinco en cinco, eso quiere decir que entre una y otra línea hay un desnivel de 5 metros, que será más pronunciado si ambas líneas están muy cerca o más suave si las líneas están muy lejos, para interpretar esto, también puede trazarse el perfil plano por donde discurrirá la línea.

Importante
Para trazar una línea aérea es necesario conocer el terreno, situando en los planos sus desniveles y los posibles obstáculos tales como árboles, edificios etc.
En el siguiente dibujo se observa a la izquierda las líneas al estar más cerca unas de las otras, muestran un desnivel más pronunciado que las líneas de la parte derecha.

En esta imagen se puede apreciar el perfil del trazado de una línea aérea. Donde PC es el punto de cota de referencia y marca la altura en la que se encuentra al nivel del mar.

8.2. Planos de obra civil
El montaje de una línea requiere planos de obra civil, para la apertura de zanjas y canalizaciones enterradas, así como la cimentación del apoyo.
Los planos de obra civil son un conjunto de documentos gráficos que definen el diseño de una construcción antes de realizarse, dejando definido todos los aspectos referentes a la obra que va a ejecutarse.
A continuación se puede ver una imagen del plano de una cimentación para un apoyo, metálico. Se observa la cimentación de la estructura de alzado y planta, las tomas de tierra y la ubicación de la pica, especificándose algunas de las medidas.

Apoyo monobloquecimentación en tierra: Zonas frecuentadas y de pública concurrencia y apoyos de maniobra
Las líneas de alta tensión subterráneas deben discurrir por zanjas con las especificaciones recogidas en la normativa REAT.
A continuación se observa el detalle de una zanja para una línea subterránea de alta tensión; en dicha imagen pueden verse los elementos de los que se debe disponer, así como la acotación de sus medidas. Cada tubo de PVC aloja un conductor en su interior, las dimensiones se especifican en el reglamento en función de las tensiones.


Recuerde
Las líneas de alta tensión subterráneas deben discurrir por zanjas con las especificaciones recogidas en la normativa REAT.
9. Simbología y planos de líneas
Conocer los símbolos que se emplean para los esquemas de alta tensión, ayudará en la interpretación de los planos.
A continuación se recoge un esquema de los símbolos empleados en la alta tensión; es importante conocerlos y diferenciarlos bien en un esquema unifilar.


Definición
Esquema unifilar
Representación gráfica de una instalación eléctrica.
9.1. Planos de líneas
Los planos de líneas representan la planta de un terreno que muestra todos los trazados de las líneas existentes en la zona. Cuando se va a proyectar el trazado de una línea aérea, el primer paso es ubicarla en el terreno mediante su trazado en el plano, situando y definiendo la ubicación de sus apoyos.

La imagen anterior pertenece al trazado de una línea aérea cuyos apoyos están numerados, la imagen de fondo son las distintas parcelas o terrenos por los que discurre la línea. Es muy importante definir la ubicación de cada apoyo, marcando incluso las coordenadas.

Aplicación práctica
Usted debe de realizar una zanja para una línea subterránea de alta tensión pero antes tiene que dibujarla. Dibújela teniendo en cuenta los siguientes datos:
SOLUCIÓN

10. Resumen
En este capítulo se han dado a conocer los tipos de redes y su estructuración, haciendo especial hincapié en las redes aéreas de alta tensión.
Conocer los elementos que conforman una línea permite identificar los tipos existentes de cimentaciones, apoyos y conductores, etc., así como los elementos auxiliares de protección y maniobra tales como aisladores, herrajes, seccionadores, interruptores, etc.
Además de estudiar las clases de subestaciones y los tipos de centros de transformación existentes, así como el tipo de conexionado de los transformadores con las redes de distribución, se ha aprendido a clasificar y describir las líneas de distribución de energía eléctrica en función de su tensión y sus características técnicas.
Finalmente se han conocido los tipos de planos y la simbología empleada para efectuar una correcta interpretación de los mismos.

Ejercicios de repaso y autoevaluación
1. La electricidad que discurre por una línea de alta tensión es...
2. Escriba cuatro tipos de redes.
3. Complete la siguiente afirmación.
Las redes de distribución son:
4. La subestación se dispone junto a las centrales generadoras, cuya misión es la de elevar la tensión para su transporte, se denomina...
5. ¿Para qué sirve un aislador?
6. Escriba cuatro elementos auxiliares de protección y maniobra.
7. ¿Qué nombre reciben las líneas que aparecen en un plano de nivel?
8. ¿Qué significa el siguiente símbolo en alta tensión?

9. Todo elemento metálico que desarrolla tareas constructivas o estructurales y que no tiene ninguna influencia sobre circuito eléctrico...
10. El/los materiales empleados para conducir la electricidad en alta tensión son _____________ y ________________ .