CAPÍTULO 3
Descripción del WISC-IV

María Elena Brenlla – Alejandra Taborda

En las tres primeras versiones del Test de Inteligencia para Niños de Wechsler (WISC, WISC-R, WISC-III) se obtenían tres Cocientes Intelectuales (CI): Verbal (CIV), de Ejecución (CIE) y Total (CIT). Como ya se adelantó, en la revisión más reciente –WISC-IV– se eliminaron los CI Verbal y de Ejecución, se incrementó la medición de dominios de funcionamiento cognitivo más específicos –Velocidad de Procesamiento (VP), Memoria Operativa (MO), Comprensión Verbal (CV) y Razonamiento Perceptivo (RP)– y se mantuvo la evaluación de la inteligencia global a través de un cociente intelectual total.

Estos cambios en el WISC-IV, que son de un tenor muy importante, obedecen indudablemente al aggiornamiento del test tras los hallazgos de la teoría CHC, habida cuenta de que, en términos estrictos, no hay una teoría formal que sustente a las escalas de Wechsler más que la asunción general de los postulados de Spearman. Por otro lado, no hay que olvidar que la CHC ha tenido la suficiente consistencia como para servir de fundamento a otros tests de inteligencia o de habilidades cognitivas como el Stanford-Binet Fifth Edition (Roid, 2003) o el Woodcock-Johnson Test of Cognitive Abilities III (Woodcock, McGraw y Mather, 2001).

En el Manual Técnico de la adaptación argentina (realizada por Taborda, Brenlla y Barbenza, 2011) se describe en detalle la estructura del WISC-IV. Como se indicó allí, el WISC-IV es un instrumento de administración individual para evaluar la inteligencia de niños o adolescentes de entre 6 años 0 meses y 16 años 11 meses (6:0 - 16:11) que consta de 10 subtests principales y 5 subtests optativos y otorga Puntuaciones Compuestas que proveen información sobre el funcionamiento intelectual en cuatro áreas cognitivas específicas (Puntuaciones Índice) y un Cociente Intelectual Total (CIT).

Para no agobiar al lector con datos que ya han sido publicados, en este libro ofrecemos un resumen de los objetivos, cambios y estructura de las puntuaciones del WISC-IV bajo la forma de cuadros sinópticos. En cambio, nos detendremos en la descripción de los estudios de fiabilidad, validez, influencia del nivel socioeconómico y análisis del sesgo psicométrico realizados en nuestro medio.

3.1. Objetivos de la revisión

Luego de diez años de investigación con el WISC-III, en los que se trabajó con la opinión de expertos en los campos de la neu- ropsicología, la psicología clínica y la psicología escolar, y de una revisión intensa de la literatura en las áreas de la teoría de la inteligencia, la evaluación intelectual, el desarrollo cognitivo y la neurociencia cognitiva, se publicó el WISC-IV. Los cinco objetivos principales fueron: a) actualizar los fundamentos teóricos, b) profundizar la utilidad clínica, c) analizar la adecuación con el curso del desarrollo, d) mejorar las propiedades psicométricas, y e) actualizar las pautas de aplicación.

En cuanto a estos objetivos, es de mencionar que muchos modelos destacan la importancia del Razonamiento Fuido (Carroll, 1997; Cattell, 1941, 1963; Cattell y Horn, 1978; Sternberg, 1995). Este se define como el proceso de “manipular abstracciones, reglas, generalizaciones y relaciones lógicas” (Carroll, 1993, p. 583). El WISC-IV incorpora tres subtests nuevos destinados a medir el Razonamiento Fuido: Matrices, Conceptos y Adivinanzas. Los dos últimos fueron adaptados del WPPSI-III mientras que Matrices fue adaptado del WAIS-III y el WPPSI-III.

En forma palmaria, las investigaciones actuales han mostrado que la memoria operativa es un componente esencial del Razonamiento Fluido y de otros procesos cognitivos de orden superior, además de estar muy relacionado con el rendimiento y el aprendizaje (Fry y Hale, 1996; Perlow, Jattuso y Moore, 1997; Swanson, 1996). La memoria operativa es la habilidad de mantener información activa siendo consciente de ello, realizar alguna operación o manipulación con ella y producir un resultado. En el WISC-IV se incorporó un subtest nuevo –Letras y Números que fue adaptado del WAIS-III– para mejorar la medición de la memoria operativa. Las tareas de Aritmética fueron revisadas de manera que incrementasen su demanda de memoria de trabajo y, debido a la evidencia de que existe una mayor influencia de esta para Dígitos en Orden Inverso que para Dígitos en Orden Directo (de Jonge y de Jong, 1996; Reynolds, 1997), se desarrollaron puntuaciones de procesamiento por separado para el subtest de Retención de Dígitos.

Por otra parte, las últimas investigaciones han mostrado que la velocidad de procesamiento de la información está dinámicamente relacionada con la capacidad mental (Kail y Salthouse, 1994), con el desempeño y el desarrollo de la lectura (Kail y Hall, 1994), con la conservación de los recursos cognitivos y con el uso eficiente de la memoria operativa en las tareas fluidas de orden superior (Fry y Hale, 1996; Kail, 2000). En los estudios de las habilidades cognitivas realizados con análisis factorial (Carroll, 1993, 1997; Horn y Noll, 1997) se ha identificado a la Velocidad de Procesamiento como un dominio importante del funcionamiento cognitivo, por lo que en el WISC-III, el WAIS-III y el WPPSI-III se han incluido mediciones de este dominio. La velocidad de procesamiento es además sensible a problemas neurológicos como la epilepsia, el déficit de atención con hiperactividad y los daños cerebrales por traumatismos (Donders, 1997). En la figura 3.1. se resumen los objetivos de la revisión WISC-IV.

OBJETIVOS DE LA REVISIÓN DEL WISC-IV

1) Actualización teórica

Noción CHC de Dominios cognitivos específicos.

-Razonamiento Fluido.

- Memoria de trabajo.

- Velocidad de Procesamiento.

- Inteligencia Cristalizada.

2) Mejorar y afianzar su utilidad clínica

- Estudios con grupos especiales.

- Correlación con pruebas de rendimiento.

3) Correspondencia con el curso de desarrollo

- Modalidad y enunciación de las instrucciones y consignas.

- Ítems de aprendizaje, preguntas y ayudas.

- Criterios de puntuación.

- Actualización de los materiales.

- Salvo para VP, se redujo la bonificación por tiempo en Cubos y Aritmética.

4) Mejora de las propiedades psicométricas

- Actualización de las normas.

- Fiabilidad y validez.

- “Pisos” y “techos” de los subtests.

- Sesgo de los ítems.

5) Mejoras en la administración

- Tiempo de administración: En WISC-III, 12 subtests principales; en WISC-IV, 10 subtests.

- Simplificación de las normas de aplicación.

- Tests optativos.

- Reorganización del Manual.

- Re-diseño de la Hoja de Registro.

6) Puntuaciones de procesamiento

Permiten analizar los procesos implicados sin la consideración del tiempo.

- Construcción con Cubos sin bonificación por tiempo.

- Dígitos Orden Directo y en Orden Inverso.

- Animales al Azar y Ordenados.

Figura 3.1. Objetivos de la revisión del WISC-IV.

3.2. Cambios en los subtests del WISC-IV

Reflejando su ajuste con las teorías actuales de la inteligencia, en el WISC-IV se incorporaron cinco subtests nuevos –Conceptos, Adivinanzas, Letras y Números, Animales, y Matrices– para reforzar las medidas de Razonamiento Fluido y de Memoria Operativa. Se eliminaron tres –Ordenamiento de Historias, Laberintos y Rompecabezas– debido a que presentaban exigencias de evaluación por tiempo y se mantuvieron diez subtests: Construcción con Cubos, Semejanzas, Retención de Dígitos, Claves, Vocabulario, Comprensión, Búsqueda de Símbolos, Completamiento de Figuras, Información, y Aritmética. No obstante, se revisaron los contenidos de sus ítems, los procedimientos de puntuación y administración y su carácter de principal u optativo. Por ejemplo, en esta versión, los tres últimos pasaron a ser optativos para el cálculo de las Puntuaciones Compuestas. En la figura 3.2 se indican los cambios en los subtests del WISC-IV.

CAMBIOS EN LOS SUBTESTS DEL WISC-IV

1) Subtests eliminados

- Ordenamiento de Historias.

- Rompecabezas.

- Laberintos.

2) Subtests nuevos

- Conceptos.

- Adivinanzas (opt.).

- Letras y Números.

- Animales (opt.).

- Matrices.

3) Subtests conservados

- Construcción con Cubos.

- Semejanzas.

- Dígitos.

- Claves.

- Vocabulario.

- Comprensión.

- Búsqueda de símbolos.

- Completamiento de Figuras (opt.).

- Información (opt.).

- Aritmética (opt.).

Figura 3.2. Cambios en los subtests del WISC-IV.

3.3. Estructura de puntuaciones del WISC-IV

Ya la evidencia obtenida de investigaciones anteriores con el WISC-III indicaba que este medía cuatro dominios cognitivos diferenciados: Comprensión Verbal, Organización Perceptiva, Ausencia de Distractibilidad y Velocidad de Procesamiento (Blaha y Wallbrown, 1996; Sattler, 2001 y Wechsler, 1991). Debido a que el WISC-IV conserva diez subtests de la edición anterior y agrega cinco subtests nuevos diseñados para medir constructos similares, se esperaba que el WISC-IV midiera estos mismos cuatro dominios cognitivos.

Para probar esta hipótesis, los autores del WISC-IV llevaron a cabo estudios factoriales exploratorios y confirmatorios. Basándose en la teoría, la investigación y los resultados de los análisis factoriales exploratorios pudo evaluarse el modelo factorial propuesto para el WISC-IV utilizando modelos de ecuación estructural (Jöreskog y Sörbom, 1993). El análisis factorial confirmatorio está diseñado para testear la estructura interna especificada por los investigadores. En este sentido, es diferente del exploratorio ya que la agrupación de subtests se realiza a priori y no por medio de un algoritmo. Las relaciones específicas entre las variables observadas (por ejemplo, los subtests) y las variables latentes (por ejemplo, Comprensión Verbal) se indican previamente y ese modelo se testea para determinar si las relaciones entre las variables observadas y las latentes confirman la estructura sobre la que se hizo la hipótesis. En el estudio norteamericano con el WISC-IV se testearon diferentes modelos de entre uno y cinco factores y se compararon entre sí para evaluar su estructura factorial y las evidencias de validez interna. Todos los modelos asumieron que los factores pueden tener correlación y que los errores no tenían correlación entre sí. Los resultados reportados por los autores del WISC-IV (Wechsler, 2003) sugieren que los mode-los de 4 y 5 factores se ajustan bien a los datos. Sin embargo, los referidos al modelo 5 no indican una mejora sustancial sobre el modelo 4 y tienen el inconveniente de que plantean un factor compuesto por un solo subtest (Aritmética). De acuerdo a ello, la hipótesis de cuatro dominios bien diferenciados de la inteligencia resultó más consistente y recibió un sustento muy satisfactorio luego de realizados dichos análisis (Wechsler, 2003). Se modificaron el nombre de “Organización Perceptiva” por “Razonamiento Perceptivo” y el de “Ausencia de Distractibilidad” por “Memoria Operativa” y se mantuvieron “Comprensión Verbal” y “Velocidad de Procesamiento”. La figura 3.3 muestra la estructura de puntuaciones definitiva del WISC-IV.


Figura 3.3

Figura 3.3. Estructura de puntuaciones del WISC-IV.

3.4. Adaptación argentina del WISC-IV:
evidencias de fiabilidad y validez

3.4.1. Muestra para la tipificación

El estudio para la tipificación del WISC-IV fue diseñado para reflejar la población infanto-juvenil de las edades comprendidas entre los 6 y 16 años del Área Metropolitana de Buenos Aires (AMBA, esto es Ciudad Autónoma de Buenos Aires y Gran Buenos, el conglomerado de 24 partidos que rodea la ciudad). Se establecieron como criterios de exclusión a los siguientes: (a) haber sido evaluado mediante cualquier instrumento de medición de inteligencia en los últimos seis meses; (b) dificultades visuales y auditivas sin corregir o limitantes; (c) falta de fluidez verbal; (c) fallos severos en la expresión verbal o de comunicación; (d) problemas motores en extremidades superiores; (e) estar en tratamiento psiquiátrico, psicológico o psicofarmacológico, y (f) diagnóstico previo de alguna enfermedad que pueda disminuir el desempeño en el test.

En el diseño del plan de muestreo se consideraron tres variables para la estratificación, el sexo, la edad y la zona. Entre diciembre de 2009 y noviembre de 2010 se recolectaron los 1485 casos estipulados pero 48 debieron ser desechados por datos incompletos o fallos en la administración o puntuación. Por tal razón la muestra final fue de 1437 casos. De estos, el 50.4% fueron niñas y el 49.6%, niños. La cantidad de casos por franja de edad osciló entre 120 y 142 y, en cuanto a la zona de residencia, el 34.9% fue de partidos de la zona sur, el 34.7% de la zona norte y el 30.2 de la zona oeste del AMBA.

Aunque no fue un criterio para la estratificación, es interesante notar los datos acerca del nivel educativo del adulto a cargo del niño –que usualmente, es la madre o el padre– ya que es un buen indicio del nivel socioeconómico del hogar. En nuestro estudio, consideramos aquellos casos en los que el registro de la educación se comparecía con las categorías globales de cantidad de años de estudios aprobados del INDEC (2004) (n = 1053) y se eliminaron aquellos cuyo registro fue confuso o incompleto (n = 391). Así, se relevaron 14 casos con menos de 4 años de estudios (1.4%), 84 casos con 4 a 6 (8.3%); 288 con entre 7 y 9 años de educación (27.3%); 344 con 10 a 12 años (32.6%) y 293 con más de 13 años de estudios (27.8%). El análisis de los datos sugiere una concordancia importante entre los datos promedio del AMBA suministrados por el INDEC (4.5%, 6.1%, 34.3%, 31,4% y 25.4%, respectivamente) y los obtenidos en la muestra de tipificación, ya indicados. De esta manera puede considerarse que se ha logrado una buena representación de la población infanto-juvenil del AMBA, en especial en cuanto al sexo, la edad, el nivel educativo de los padres y la región de residencia.

3.4.2. Fiabilidad

La fiabilidad de las puntuaciones del WISC-IV ha sido estudiada tanto en los Estados Unidos (Wechsler, 2005) y España (TEA, 2005) como en la Argentina; en todas estas investigaciones se encontraron evidencias satisfactorias de las propiedades psicométricas del WISC-IV. En términos resumidos, para nuestro medio, las evidencias de consistencia interna –estimadas a partir del método de división por mitades– muestran coeficientes entre .79 y .90 y, los de estabilidad test-retest, entre .77 y .86. Debido a que Claves, Búsqueda de Símbolos y Animales son subtests de Velocidad de Procesamiento, el coeficiente del modo de división por mitades no es una estimación de fiabilidad adecuada. Por lo tanto, se utilizaron los coeficientes de estabilidad que se basaron en las puntuaciones de los niños que participaron en el estudio del test-retest. En la tabla 3.1 se pueden apreciar los coeficientes de fiabilidad de todos los subtests, puntuaciones de procesamiento y Puntuaciones Compuestas obtenidos para la muestra de Buenos Aires.

Estos datos son coincidentes con los presentados tanto para la versión original norteamericana como para la adaptación española. En conjunto, estos resultados sugieren que, independientemente de las diferencias culturales, las puntuaciones del WISC-IV presentan evidencias sólidas de fiabilidad. Para una descripción detallada de los procedimientos y otros resultados, consúltese la edición WISC-IV publicada por Paidós (Taborda, Brenlla y Barbenza, 2011).

Tabla 3.1. Coeficientes de fiabilidad promedio de todos los subtests, Puntuaciones de Procesamiento y Puntuaciones Compuestas.

Muestra Buenos Aires. Todas las edades (6 – 16 años) (n = 1437)


Tabla 3.1 - primer parte Tabla 3.1 - segunda parte

3.4.3. Validez estructural

En el capítulo 6 del Manual Técnico del WISC-IV se indicaron las evidencias de validez de contenido, de criterio y estructural halladas tanto para la versión norteamericana como para la argentina. Allí se detallan los estudios con expertos, las correlaciones con otras medidas y los resultados de análisis factoriales. En esta ocasión nos detendremos en estudios adicionales de la estructura interna, ya que ello es esencial para una correcta interpretación del test. Como expresamente señalan los lineamientos de la AERA (1999: 13) el examen de la estructura interna de la escala “puede indicar el grado en el que los ítems y los componentes de un test conforman el constructo en el que se basan las interpretaciones de la puntuación del test propuesto”. Las investigaciones en las que se utilizaron las escalas de Wechsler han indicado una fuerte evidencia de validez basada en la estructura interna de la escala (por ejemplo Wechsler, 1989, 1991, 1997).

La naturaleza de esta evidencia ha evolucionado con los avances en la teoría y la evaluación de la inteligencia, así como en los ámbitos del desarrollo cognitivo y la neuropsicología. El análisis de la estructura factorial del WISC (Wechsler, 1949) que realizó Cohen (1949) sugirió la presencia de un tercer factor más débil dentro de la Escala de Ejecución. Cuando en el WISC-III se introdujo un nuevo subtest –Búsqueda de Símbolos– para analizar este tercer factor, los investigadores notaron que, en realidad, se definía con nitidez un cuarto factor: el de Velocidad de Procesamiento. Como resultado, se derivaron cuatro índices para representar dominios más específicos del funcionamiento cognitivo.

Debido a que en el WISC-IV se retienen diez subtests de la edición anterior y se agregan cinco subtests diseñados para medir constructos afines a la teoría CHC, se esperaba que la nueva versión midiera los mismos cuatro dominios cognitivos. Para probar esta presunción, los autores del WISC-IV llevaron a cabo estudios factoriales confirmatorios, utilizando modelos de ecuación estructural (Jöreskog y Sörbom, 1993). Tal como se indicó, la hipótesis de cuatro dominios bien diferenciados de la inteligencia resultó más consistente y recibió un sustento muy satisfactorio luego de realizados dichos análisis (Wechsler, 2003), de acuerdo a cómo se ilustró en la figura 3.3.

No obstante, Keith, Fine, Taub, Reynolds y Kranzler (2006) objetaron esta estructura de cuatro dominios específicos en el WISC-IV y propusieron otra alternativa y superadora de cinco dominios, a saber, Inteligencia Cristalizada, Procesamiento Vi-sual, Razonamiento Fluido, Memoria de Corto Plazo y Velocidad de Procesamiento. Tiempo más tarde, Chen, Keith, Chen y Chang (2009) replicaron este estudio sobre la muestra taiwanesa. Los resultados difirieron claramente respecto de la supremacía de este modelo CHC y aún de la estructura de subtests que la componen. De acuerdo a los hallazgos de Chen et al. (2009) ambos modelos –el de la estructura de cuatro factores del WISC-IV y el modelo alternativo basado en la CHC– recibieron un sustento empírico satisfactorio. La varianza explicada fue similar en ambos y tanto uno como otro proveyeron explicaciones significativas acerca de la organización interna del test. No obstante, la estructura factorial según el modo alternativo CHC no coincidió con la obtenida por Keith. En la figura 3.4 se muestra la estructura obtenida por Chen et al. (2009). Las diferencias más importantes son en cuanto al Razonamiento Fluido, la Inteligencia Cristalizada y el Procesamiento Visual. Concomitantemente, los subtests Completamiento de Figuras, Aritmética, Búsqueda de Símbolos, Semejanzas y Matrices presentaron cargas compartidas en distintos factores.

Figura 3.4

Figura 3.4. Estructura del WISC-IV según un modelo alternativo basado en la teoría CHC (Keith et al., 2006 y Chen et al., 2009).

Como es lógico, este tipo de resultados divergentes interpelan las evidencias de la validez de la estructura interna de las puntuaciones del test. Y, con ello, la calidad de las inferencias psicológicas que pueden hacerse a partir de sus resultados. No debe olvidarse que muchos tests, como es el caso del WISC-IV, brindan información que puede ser relevante para la toma de decisión en psicología aplicada. Su administración permite al psicólogo evaluar la habilidad intelectual de niños y adolescentes y es uno de los elementos de juicio que se tienen en cuenta para indicar la educación especial, la pertinencia de una intervención psicopedagógica o la derivación a otras especialidades como la neurología o la psicología clínica (Wechsler, 2003). Por ende, resulta crucial contar con estudios que avalen que la estructura interna del test responde a una concepción clara de la inteligencia y no a una construcción pseudoética (Marín, 1986; Triandis et al., 1980), en la que se aceptan como válidas y universales las inferencias realizadas en otros contextos sin el debido análisis en la cultura en la que se quiere adaptar un test.

En vista de estos antecedentes, se llevaron a cabo estudios de AFC sobre las puntuaciones de la muestra de tipificación de Buenos Aires para analizar si la estructura de Puntuaciones Compuestas de cuatro dominios específicos y un factor general postulada por los autores del WISC-IV se replica en nuestro medio (Taborda, Brenlla y Barbenza, 2011) y para poner a prueba los modelos alternativos basados en la CHC propuestos por Keith et al. (2006) y Chen et al. (2009). En el capítulo 6 del Manual Técnico se indicó que los resultados del AFC sobre las puntuaciones de la muestra de Buenos Aires presentaron índices muy satisfactorios para el modelo CHC de cuatro dominios específicos y un factor general propuesto por los autores del WISC-IV e incluso algo mejores que los reportados en el estudio norteamericano. Por ejemplo, pudo notarse que el índice de bondad de ajuste x2/gl es de 4.54 en el estudio de Estados Unidos mientras que el de Buenos Aires es de 3.91 en tanto que el RMSEA es de .04 en los Estados Unidos y de .02 en el estudio local. Tanto estos como los otros índices reportados en las tablas del Manual muestran valores que se adecuan a los de referencia usualmente considerados (Bentler y Bonet, 1980; Arbuckle, 2009) dando consistencia al modelo de Puntuaciones Compuestas del WISC-IV.

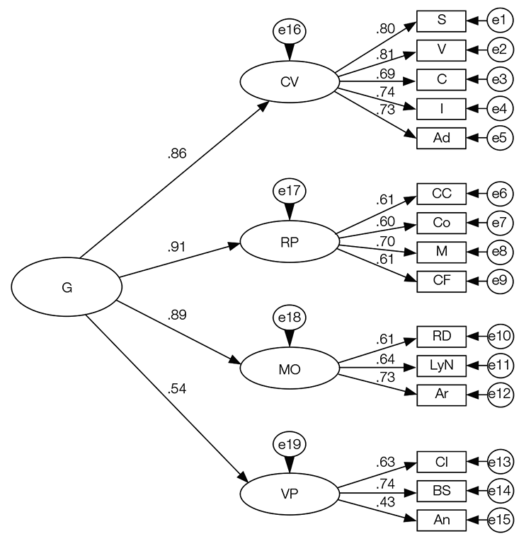
Además, y tal como se ilustra en la figura 3.5, los coeficientes de regresión estandarizados confirman los factores que se conjeturaron (CV, RP, MO y VP). Razonamiento Perceptivo (β = .91), Memoria Operativa (β = .89) y Comprensión Verbal (β = .86) son los que tienen mayor carga en g con valores muy parecidos, en tanto que, Velocidad de procesamiento (β = .54), es el de menor carga en g. Es de resaltar que todos los coeficientes son muy altos y que las cargas factoriales de los subtests se ajustan con nitidez a la estructura de Puntuaciones Compuestas ideada en el WISC-IV. Por ejemplo, los coeficientes de los subtests que componen el índice de Comprensión Verbal tienen cargas factoriales que oscilan entre .69 a .81; los de Razonamiento Perceptivo, entre .60 a .70, los de Memoria Operativa, de .61 a .73 y los de Velocidad de Procesamiento, entre .43 a .74. Además, todas las asociaciones especificadas por el modelo mostraron un peso significativo (p < .001) sobre el factor en cuestión.

Figura 3.5

Figura 3.5. Estructura factorial de la adaptación argentina del WISC-IV según el modelo de Puntuaciones Compuestas.

Pero, como señalábamos recién, es de interés conocer si los datos se ajustan a un modelo CHC alternativo en la idea de analizar teórica, psicométrica y culturalmente cómo se expresa dicha hipótesis en nuestro medio. Para ello, se realizaron AFC de las puntuaciones de la muestra de Buenos Aires reagrupando los ítems según los modelos CHD alternativos de Keith et al. (2006) y de Chen et al. (2009) (figura 3.4). El primer modelo alternativo no produjo una solución satisfactoria. Se registraron varianzas negativas y la inspección de los coeficientes beta estandarizados indicó que el subtest Matrices presentó cargas negativas y exiguas en Razonamiento Fluido (Fl = -.03) y cargas positivas y significativas en Procesamiento Visual (Vis, .75), estimación contraria al modelo propuesto por Keith et al. (2006). Estos rasgos hacen que la solución hallada no sea admisible.

En cambio, el modelo propuesto por Chen et al. (2009) presentó un buen ajuste. Todos los coeficientes estandarizados van en la dirección esperada por el modelo; sus valores son, por lo general, medios o altos y estadísticamente significativos. En la figura 3.6 se muestra la solución hallada. Se observa que los coeficientes de regresión estandarizados confirman los factores que se conjeturaron (Cr, Vis, Fl, Mem y VP) y que los que tienen mayor carga en g son Procesamiento Visual (β = .96), Razonamiento Fluido (β = .95), Habilidad Cristalizada (β = .80). y Memoria (β = .79), mientras que el de menor carga es Velocidad de Procesamiento (β = .46).

Los índices de bondad de ajuste calculados son similares a los obtenidos para el modelo de Puntuaciones Compuestas del WISC-IV (c2/gl = 4.15, GFI = .96, AGFI = .95, RMSEA = .04 [LO90 = .042 / HI90 = .052, p .833], RMSR = .07, NFI = .95 y CFI = .97). A pesar de esta similitud en cuanto al ajuste empírico, hay que señalar que en el modelo alternativo CHC las cargas factoriales son menos nítidas que las observadas en el del WISC-IV. Por ejemplo, este modelo CHC supone que las tareas de Búsqueda de Símbolos tendrán una carga compartida entre el Procesamiento Visual y la Velocidad de Procesamiento. Si bien los resultados así lo indican, los coeficientes son bajos para el primero (β = .17) pero sustantivos para el segundo (β = .59). De manera análoga, Aritmética tiene una carga baja en Inteligencia Cristalizada (β = .29) y más alta para Memoria (β = .47) y, Semejanzas, cargas muchos más importantes en Habilidad Cristalizada que en Razonamiento Fluido (β = .70 y β = .12, respectivamente). Además, hay que notar que Matrices –que en el modelo de Keith se agrupaba con Aritmética y Conceptos y que había presentado varianza negativa con Razonamiento Fluido– registró coeficientes altos y significativos en este dominio (β = .70).

Otra diferencia respecto del modelo de Keith, es la separación de los factores de Procesamiento Visual y de Razonamiento Fluido. Esto se verifica para la población infantil de los Estados Unidos pero no en la muestra de Buenos Aires ni en la de Taiwan. Aquí, las puntuaciones obtenidas por los niños revelan una correlación más importante y significativa entre el Procesamiento Visual y el Razonamiento Fluido que la observada en el país de origen. Chen et al. (2009) interpreta estos resultados indicando que cuando a los niños se les presenta un estímulo visual, podría activarse casi automáticamente la pizarra viso-espacial del sistema de memoria operativa (Baddeley, 2003) y poner en marcha así los procesos del Razonamiento Fluido. De la misma manera, las diferencias son relevantes respecto de Completamiento de Figuras. Keith et al. (2006) reportaron cargas cruzadas de este subtest en Procesamiento Visual y en Inteligencia Cristalizada mientras que, en nuestro estudio, las cargas fueron importantes para el primero y no significativas para la segunda. Como se indicó, en los Estados Unidos los valores son cercanos y moderados; en cambio, en las muestras de Buenos Aires y Taiwan, la carga principal recae sobre el procesamiento visual pero no sobre la Inteligencia Cristalizada. Nuevamente, la asociación entre el procesamiento visual y el razonamiento no verbal es más importante para los niños argentinos y taiwaneses.

De acuerdo con el citado estudio de Keith, en el subtest de Aritmética, los niños norteamericanos puntúan de manera tal que puede considerarse como una medida del Razonamiento Fluido o del conocimiento cuantitativo. Si bien ello coincide en parte con el análisis realizado en nuestro medio, también es verdad que los resultados muestran ciertas diferencias cuando se analiza en forma conjunta la influencia de otros factores. Así, en la muestra de Buenos Aires, Aritmética mostró cargas compartidas con la Inteligencia Cristalizada ( .29) y con la Memoria de Corto Plazo ( .47), por lo que estos factores parecen ser más importantes que otros en su explicación. Keith et al. (2006) indican que diversas condiciones pueden afectar el rendimiento en este subtest, tales como los programas escolares de matemáticas o el nivel de sofisticación para la resolución de problemas. Hay que recordar que la Inteligencia Cristalizada se relaciona significativamente con el conocimiento adquirido en el sistema escolar en tanto que el Razonamiento Fluido implica manipular abstracciones, reglas, generalizaciones y relaciones lógicas. Según estos datos, los mecanismos y procesos que subyacen a este subtest podrían ser diferentes para los niños de los Estados Unidos respecto de los de Buenos Aires y de Taiwan. Así, las puntuaciones en Aritmética en esta investigación parecen depender más de los conocimientos adquiridos y el entrenamiento previo que de la aplicación de leyes lógicas.

Los resultados de estos estudios adicionales para analizar las evidencias de validez interna del WISC-IV en la Argentina indican que tanto la estructura de cuatro factores propuesta por los autores del WISC-IV (Wechsler, 2003) como el modelo alternativo CHC son enfoques sustantivos para realizar la interpretación del WISC-IV en nuestro medio. Por tal razón, se los incluye para la interpretación contextual del test, tal como se describe en el capítulo 6. Además nos recuerdan que, al realizar la interpretación de las puntuaciones del WISC-IV, es importante notar no solo las similitudes sino también las discrepancias respecto de las habilidades cognitivas subyacentes en distintas culturas.

Figura 3.6

Figura 3.6. Estructura factorial de la adaptación argentina del WISC-IV según el modelo CHC alternativo.

3.4.4. Influencia del nivel socioeconómico y análisis del sesgo psicométrico

Hacia la década de 1970, se comenzó a informar un efecto sistemático de la raza sobre el rendimiento a los tests de inteligencia (Jensen, 1969). Diversos estudios encontraron una diferencia de 15 puntos en tests de Cociente Intelectual (CI), en los que los niños blancos puntuaban más alto que los afroamericanos (Jones y Herndorn, 1992; Lynn, 1995; Neisser, 1996). Más tarde, algunos trabajos reportaron que esta diferencia se reducía a 8.5 cuando se ajustaban los datos según la pobreza del vecindario y a 3.4 cuando se consideraban además la provisión de experiencias de aprendizaje y el vínculo parental (Brooks-Gunn y Klebanov, 1996). En la actualidad, la evidencia sugiere que las diferencias se relacionan más consistentemente con el nivel socioeconómico que con el origen étnico (Kaufman, 2005; Fletcher-Janzen, 2010).

Para explicar estas diferencias en tests de inteligencia según se consideren distintos grupos socioculturales, se establecieron distintas hipótesis: genéticas, ambientales, motivacionales y de sesgo en la medición.

En términos muy sucintos, puede indicarse que las teorías genéticas sostienen que la inteligencia es altamente heredable (Hernstein y Murray, 1994; Jensen, 1969) y que explican entre un 50 a un 75% de la capacidad intelectual (Grigorenko, 2000).

Por su parte, las teorías ambientales postulan que existe una covariación entre los componentes genéticos y los del entorno. Factores tales como la mala nutrición, el peso bajo al nacer, la estimulación familiar y del entorno deficientes y la pobreza se asocian con modelos menos adecuados para la adquisición del lenguaje (Bellinger y Adams, 2001; Brody, 1992) e incrementan el riesgo de una baja inteligencia (Ramey, Campbell y Ramey, 1999; Sattler, 2001; Sigman y Whaley, 1998). Asimismo, otros investigadores notaron que en los grupos vulnerados los estudiantes tenían menos motivaciones de logro que sus pares de clases más altas (Banks, 1998). De esta manera se argumenta que los factores sociales –y no solo los genéticos– contribuyen a la explicación de las diferencias culturales en la evaluación intelectual.

Otra explicación se ha centrado en los instrumentos de medición sobre los que se realizan las comparaciones. En especial, se ha argumentado que las medidas estandarizadas de inteligencia –tales como las escalas de Wechsler– están culturalmente sesgadas a favor de la cultura mayoritaria. La investigación psicométrica ha tratado de resolver esta cuestión analizando cuatro fuentes potenciales de sesgo: el contenido inapropiado, un proceso de estandarización no riguroso, la medición de un constructo diferente (pseudo-etic) y la capacidad predictiva diferencial (Reynolds, Lowe y Saenz, 1999).

La cuestión del sesgo en la validez de contenido se ha estudiado comparando la dificultad de los ítems en distintos grupos de interés. Los resultados, hasta el momento, no han encontrado diferencias consistentes debidas a sesgos en los ítems (Anastasi, 1988; Reynolds et al., 1999; Wechsler, 2003). Otro de los argumentos ha sido que el instrumento no evalúa el mismo constructo en diferentes culturas. No obstante, ha habido una extensa investigación acerca de la estructura factorial del WISC que muestra la misma configuración para distintos grupos raciales y clases sociales. Así, numerosos estudios señalaron que la estructura factorial del WISC-R era invariante respecto del NES (Gutkin y Reynolds, 1981; Oakland & Feigenbaum, 1979; Reschly, 1978). Más cerca en el tiempo, Fletcher-Janzen (2010) administró el WISC-IV y el KABC-II a niños de distintos NES y grupos étnicos. Los resultados indicaron que el WISC-IV estaba más relacionado con el NES que el KABC-II pero que ambos presentaban índices de fiabilidad y validez semejantes en los diferentes grupos. El común denominador de estos estudios es que las propiedades psicométricas son semejantes en todos los niveles socioeconómicos pero existen diferencias sistemáticas en las puntuaciones CI entre ellos.

En el caso de la adaptación de un test a otra cultura, con otro idioma –como es el caso de la adaptación argentina del WISC-IV– esas fuentes de sesgo deben ser especialmente estudiadas. Al igual que en otras regiones, muchos profesionales en la Argentina tienen prevenciones para administrar el WISC-IV en poblaciones vulneradas, aduciendo que estos han sido diseñados pensando en niños de clase media, que residen en entornos socio-familiares con un mayor acceso a la estructura de oportunidades sociales y con mejores condiciones iniciales de nutrición y estimulación ambiental. Por estas razones, ofrecemos los resultados de un estudio realizado sobre la muestra de tipificación de Buenos Aires donde se comparan las Puntuaciones Compuestas del WISC-IV (Cociente Intelectual y Puntuaciones Índice) según el nivel educativo de la madre (NEM), ya que se la considera una medida proxy del nivel socioeconómico del hogar y se analiza si existe sesgo psicométrico según el NEM mediante la comparación de estudios de fiabilidad y validez.

Como puede notarse en la figura 3.7, efectivamente se registran diferencias significativas entre los cuatro grupos de niños clasificados según los años de educación de la madre –menos de 12 (secundario incompleto o menor), 12 (secundario completo), 13 a 15 (terciario o universitario incompleto) y más de 16 (terciario o universitario completo)–, en especial, respecto del CIT y el Índice de Comprensión Verbal. Nótese que hay una diferencia de 7 puntos en ambos al comparar el NEM bajo (CIT, m ≈ 92) y el NEM medio (CIT, m ≈ 99), de 11 puntos respecto del medio alto (CI, m ≈ 103) y de 15 puntos respecto del alto (CIT, m ≈ 107). Así, a medida que aumenta el nivel educativo de la madre, aumenta el CIT de sus hijos. Si bien estas diferencias son significativas, no obstante, todas indican una clasificación cualitativa de “inteligencia promedio” y representan algo menos de ½ desvío estándar respecto de la población mayoritaria que presenta estudios de secundario completo. Claro que estas diferencias son más pronunciadas a medida que aumenta el NEM pero hay que destacar que el Índice de Comprensión Verbal es el que contribuye de manera más significativa en dichas diferencias. En la figura 3.7 se indican las diferencias para todas las puntuaciones, teniendo como referencia al grupo de bajo NEM. Puede notarse que en el único caso en que las diferencias alcanzan un desvío estándar es en la comparación entre los extremos de la escala educativa en cuanto al ICV. En cambio estas diferencias disminuyen claramente en los otros dominios de la inteligencia, en especial en VP y RP y, en ningún caso, llegan a lo observado en ICV y a las puntuaciones. Índice por separado. Además, si se analizan los intervalos de confianza, puede notarse que todas las puntuaciones siguen cayendo dentro del promedio. De esta manera, cuando se evalúa a niños de bajo NES, es muy recomendable prestar atención a los Intervalos de Confianza en CI e ICV y a las Puntuaciones Índice por separado. Por ejemplo, informar “CI entre 88 y 101” es mejor que solo “CI 92”. Esto reduce enormemente la posibilidad de equivocaciones en las apreciaciones diagnósticas. Por lo tanto, si bien las puntuaciones en el WISC-IV presentan estas diferencias según el NEM, ellas son de carácter cuantitativo más que cualitativo.

Puede notarse que los niños cuyas madres tenían menos de 12 años de educación, presentaron valores promedio en Razonamiento Perceptivo y en Velocidad de Procesamiento muy cercanos a los obtenidos por el grupo mayoritario de niños con madres que habían concluido los estudios secundarios así como diferencias en Comprensión Verbal y en Memoria Operativa que deben considerarse moderadas, ya que representan menos de ½ desvío estándar.

En este sentido, hay que señalar que el tipo de argumentación que sostiene que la pobreza es un predictor robusto del bajo rendimiento intelectual es potencialmente peligroso y ciertamente discriminador. La pobreza no es sinónimo de baja inteligencia, tal como lo muestran los resultados de este estudio que, en realidad, indican valores promedio en todos los índices considerados.

Figura 3.7

Figura 3.7. Media de las Puntuaciones Compuestas del WISC-IV por NES en la muestra Buenos Aires (N = 1437).

* Diferencia respecto del grupo < 12.

Como se mencionó antes, una de las explicaciones acerca de las diferencias en el rendimiento intelectual según NES es la presunción de que las pruebas de inteligencia presentarían sesgos psicométricos. Esto es, que han sido diseñadas pensando en niños con mejores oportunidades educativas y sociales. Para analizar si esto ocurre con el WISC-IV a continuación se brinda un análisis adicional a los ya publicados en el capítulo 4 del Manual Técnico. Allí se comentaban los cambios realizados en los subtests de Aritmética y Conceptos en cuanto a los dibujos de ciertos estímulos que eran poco familiares en términos culturales (por ejemplo, zanahorias por bellotas; hamaca por trineo), a la pertinencia contextual de ciertos ítems verbales (por ejemplo, preguntas de comprensión e información propias de los Estados Unidos pero inhabituales en Argentina) y al reordenamiento en función del nivel de dificultad observado en nuestro medio de los ítems que componen los distintos subtests del WISC-IV. De esta manera, se ha controlado el sesgo de contenido y de adaptación.

En este caso profundizaremos el análisis de los indicadores de fiabilidad y de validez interna comparando estas evidencias en grupos de niños con madres de baja educación y de educación media o alta.

En cuanto a las evidencias de fiabilidad, en la tabla 3.2 puede notarse que los índices obtenidos son muy satisfactorios en ambas muestras. De hecho, los obtenidos para el grupo de bajo NEM son, en su mayoría, más altos que los registrados en el grupo de madres con un nivel educativo de 12 años o más.

Al igual que para la muestra total, se realizó un análisis factorial confirmatorio para analizar si la estructura de cuatro factores propuesta en el WISC-IV se cumplía en el caso de la muestra de niños provenientes de hogares con baja educación. El modelo –que reproduce la forma ya indicada en la figura 3.5– se repitió tanto para la muestra de niños cuyas madres tuvieran menos de 12 años de educación (secundario incompleto o menor) como para aquellas cuyo nivel de educación fuera mayor (secundario completo o más). En la tabla 3.3 se muestran los estadísticos de bondad de ajuste para ambas muestras, donde puede notarse que los índices son semejantes y satisfactorios en ambas muestras por lo que puede colegirse que la estructura interna del WISC-IV permanece inalterable en el análisis según NEM. En este sentido, los datos indican que no existe sesgo psicométrico en cuanto a la precisión de las medidas incluidas en el WISC-IV ni en relación con los constructos teóricos evaluados en ninguno de los grupos considerados.

Tabla 3.2. Coeficientes de fiabilidad del WISC-IV por NES en la muestra Buenos Aires (N = 1437)

Coeficientes de fiabilidad*

WISC-IV subtests

Nivel educativo de la madre

(en años de educación)

< 12 (n = 194)

> 12 (n = 1243)

Cubos

.94

.85

Semejanzas

.90

.86

Dígitos

.88

.83

Conceptos

.87

.75

Claves

.90

.83

Vocabulario

.90

.85

Letras y Números

.92

.85

Matrices

.92

.88

Comprensión

.90

.82

Búsqueda de Símbolos

.78

.78

*C, S, RD, Co, V, LyN, C = Coeficientes de division por mitades/ Cl y BS = Coeficientes Test-Retest.

Tabla 3.3. Estadísticos de bondad de ajuste del modelo de puntuaciones del WISC-IV según NES.

Tabla 3.3

Sin embargo, es evidente que a medida que aumenta la educación de la madre –proxy del nivel económico– mejoran los índices del WISC-IV. Si ello no es debido a sesgos psicométricos, ¿a qué podría atribuirse?

Para tratar de esbozar una explicación provisoria se consideraron en forma conjunta el nivel educativo de la madre (NEM) y el tipo de jornada escolar (jornada simple o jornada completa) (TJE) como predictores del CIT e ICV del niño. Se trabajó con un análisis de regresión cuyos resultados señalaron que el NEM y el TJE explican una proporción pequeña de la varianza de las puntuaciones CIT (R2 = .148, 15 % varianza explicada) aunque de manera significativa (NEM β .258, p < .000), TJE β .208, p < .000).

Quizá el hecho de pertenecer a una u otra clase socioeconómica se comparezca con un desigual acceso a la escolarización inicial y posteriores oportunidades educativas. La población argentina de clase media mayoritariamente concurre a escuelas desde temprana edad (2 años en adelante), mientras que gran parte de los niños de clase baja se incorporan al sistema educativo público a partir de los 5 años, que es la edad obligatoria de inicio. Además, en muchos casos, los primeros concurren a escuelas con jornada completa –de 8 horas– mientras que los más desfavorecidos asisten por lo general, a escuelas con jornada simple –de 4 horas–, lo cual se comparece con menor exposición escolar. En consecuencia, tanto los antecedentes académicos maternos, la experiencia escolar inicial como la estimulación posterior recibida, configuran variables explicativas de las diferencias en el rendimiento en el test. Probablemente si en la ecuación se agregasen otros factores tales como la calidad educativa, el hacinamiento habitacional o la composición familiar se lograría un aumento de la varianza explicada.

Lo reseñado cobra mayor relevancia a la luz de las numerosas investigaciones actuales que demuestran la existencia de una codeterminación mutua entre subjetividad, ambiente, contexto histórico-social, vulnerabilidad genética y desarrollo cerebral (Rebollo, Carriquiry, Christophersen y Rodríguez, 2010; Ansermet y Magistretti, 2006; Dio Bleichmar, 2004; Kandel, 1998).