Llegados pues a este punto y habiendo decidido cómo, cuándo y para qué, hemos de saber hasta dónde diluir un aceite vegetal (a. v.), cuántas gotas utilizar, y eso va a depender de:
• los aceites esenciales escogidos;
• los aceites vegetales escogidos en caso de aplicación cutánea;
• el objetivo del tratamiento, ya sea físico o emocional, el cual decide la interfaz más adecuada a utilizar;
• la creación de un perfume;
• el vehículo o medio portador utilizado para poner en contacto el aceite esencial con el organismo;
• la edad del sujeto;
• y el estado de su piel y salud.
Si tomamos una medida general y después nos fijamos en las precauciones y posibles contraindicaciones e interacciones con fármacos de cada uno de los aceites esenciales (ver fichas), ya podemos afinar mucho más sin temor a incurrir en molestias, contraindicaciones e interacciones con fármacos o disgustos innecesarios. Seamos prácticos y enfoquémonos en un solo objetivo terapéutico para obtener mejores resultados.
Suele pasar que, cuando empezamos a experimentar con los aceites esenciales, nos surgen las dudas sobre si estamos trabajando correctamente con ellos y si nuestras mezclas y diluciones son las más adecuadas y seguras. Para simplificar un poco más el trabajo, sugiero tener siempre presente los objetivos o propósitos de nuestra sinergia: solo físico o físico y emocional; para un problema, para varios… De este modo, podemos decidirnos por realizar una sinergia horizontal o vertical. En este método, hemos de tener en cuenta la composición química de los aceites esenciales y su farmacodinamia sobre el sujeto.
a. Sinergia horizontal química. Ha de buscarse una similitud en la composición química de los aceites esenciales escogidos para que se complementen sinérgicamente entre sí; por ejemplo, la sinergia antifúngica para tratar pie de atleta: podemos escoger aceites esenciales ricos en monoterpenoles como el geranio, el árbol del té y la palmarosa. No valoramos el ámbito emocional en sinergia con el físico.
b. Sinergia vertical terapéutica. Un punto de vista más holístico; está enfocada a conseguir varios propósitos tanto físicos como emocionales y mentales. Por ejemplo, deseamos una sinergia mucolítica y también revitalizadora para elevar el ánimo durante la enfermedad: en este caso, para ayudar a fluidificar el moco, escogeríamos aceites esenciales con alto porcentaje en lactonas y cetonas, así como en óxidos, para ayudar a la expectoración y descongestión, y algún aceite esencial con moléculas euforizantes y tonificantes como los monoterpenos y los ésteres (estimulantes de las endorfinas). En este, hemos tenido en cuenta tanto el plano físico como el anímico.
El siguiente problema que se nos presenta casi siempre cuando empezamos a jugar con nuestras mezclas es la cantidad de gotas que hemos de echar. Por ese motivo, a continuación, os presento varios cuadros-guía con porcentajes según la edad y el tamaño del preparado y un escalado de gotas/capacidad que resultará más rápido y práctico; así nos olvidamos de los porcentajes y las matemáticas. Pero en ningún momento debemos dejar de lado las precauciones y contraindicaciones que mencionaré más adelante, donde pondremos el punto sobre aquellos aceites esenciales no recomendados en embarazadas y niños, así como aquellos que por su composición química pueden ser agresivos tanto por vía externa como interna. Veamos ahora las dosificaciones más adecuadas si el vehículo es el aceite vegetal en aplicación cutánea, un excipiente graso como la miel o un aceite vegetal en ingesta oral.



Con los conceptos claros en cuanto a límites en la dilución, hemos de elaborar nuestro preciado y aromático tesoro; pero hay un concepto que debemos tener claro antes de tirar adelante con la mezcla: ¿se diluye o se potencia al mezclar dos o más aceites esenciales? Sin tener en cuenta el vehículo que podamos usar. ¿Puede ser que los aceites esenciales escogidos sean antagonistas o sinergistas? A fin de cuentas, esta obra se titula Aceites esenciales en sinergia. Este concepto a menudo no queda claro cuando nos sumergimos en el maravilloso y a la vez completo mundo de la aromaterapia. La pregunta que nos podríamos plantear es: cuando realizamos una mezcla de dos o más aceites esenciales buscando una sinergia horizontal, es decir, enfocándonos en un componente químico específico, ¿realmente se diluye ese mismo contenido y eso afecta sus propiedades?
Te voy a poner un ejemplo para su mejor comprensión: imagina que estás buscando una sinergia antimicótica para tratar el pie de atleta. Sabemos por la química de los aceites esenciales (ver apartado XVI) que los monoterpenoles son buenos fungicidas, viricidas y bactericidas, y que entre sus moléculas el geraniol es uno de los más potentes en este campo (S. Pattnaik et al., 1997). Escogemos este componente porque también sabemos, según nos dice R. Tisserand & Young en su obra Essential Oil Safety, que esta molécula es solo muy ligeramente sensibilizante y no supone un riesgo para nuestra piel una vez diluido. Después, buscamos aquel o aquellos aceites esenciales con alto contenido en geraniol y vemos que la palmarosa, con entre un 74,5-81 %, y el geranio, 7,3-30 %, están dentro de esa lista y, además, con un aroma que agrada. Los mezclamos en una proporción de 1:1. Significa ahora que, al mezclarlos, ¿la proporción de geraniol también se suma? La respuesta es que no. Hemos de tener en cuenta que el porcentaje de un componente específico en un aceite esencial se expresa como una de sus partes, pero habrá otros constituyentes, como en el caso de la palmarosa, con once componentes más; la suma de las concentraciones de todos los componentes nos da el 100 %. Cuando mezclamos aceites esenciales, el contenido de los componentes individuales de cada aceite esencial se suma al igual que en sus volúmenes. Como el volumen total (o el peso) de una mezcla siempre será mayor, las contribuciones de cada aceite promediarán según su peso en la mezcla. Veamos algunos cálculos simples con diferentes proporciones.
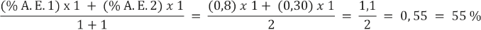
Es decir, si vamos a combinar dos aceites esenciales (a. e.), palmarosa y geranio, siendo sus porcentajes, para redondear, 80 y 30 % respectivamente, ¿cómo queda la concentración al final? Mezcla 1:1: mezclamos una parte de palmarosa y una parte de geranio, y obtenemos dos partes de la mezcla. Para la concentración final del constituyente deseado, hemos de dividir la suma de concentración por 2.

Mezcla 1:2: mezclamos una parte de palmarosa y dos partes de geranio, y obtenemos tres; por lo tanto, la suma de las concentraciones debe dividirse por 3.

Ya hemos visto que los componentes de los aceites esenciales se diluyen cuando estos se mezclan entre sí. Evidentemente, las propiedades de la sinergia resultante también se modifican. Por tanto, cuando vayas a efectuar tu mezcla, ten presente el siguiente resumen de parámetros:
1. Escoge el propósito de tu mezcla: sinergia horizontal o vertical.
2. Selecciona aceites esenciales complementarios entre sí terapéutica, química, energética y/o aromáticamente.
3. Comprueba las recomendaciones de seguridad de cada aceite esencial: diluciones máximas, interacciones con medicamentos.
4. Ten presente la edad y el estado de salud y de la piel del receptor.
5. No sobrepases el número de aceites esenciales en la mezcla, pues, como has visto, se van diluyendo sus componentes y, por tanto, sus propiedades. Personalmente, prefiero no pasar de tres aceites esenciales.
6. Propósito = Centro de la mezcla = Uno de los aceites esenciales.
7. Aceites esenciales sinergistas = Potenciadores.
8. Vehículo. Escoge tu base buscando armonía y complementación con los aceites esenciales.
9. Un buen aceite vegetal puede potenciar aún más la mezcla y de paso evitar que los aceites esenciales provoquen reacciones indeseadas en la piel. Por ejemplo, en la sinergia antimicótica anterior podríamos escoger una aceite vegetal de neem (a un 2 % de dilución; es algo irritativo) más un aceite vegetal de sésamo o un óleo macerado de hipérico por sus propiedades antifúngicas, antisépticas y cicatrizantes.
10. Cantidades correctas; para ello, has de fijarte en los consejos de dilución según las edades y también en las diluciones aconsejadas por cada aceite esencial en sus fichas.
Y con todo esto, ya estás en disposición de crear tu mezcla aromática y terapéutica. Escoge tu envase: siempre oscuro (marrón o azul), vierte las gotas de aceites esenciales y seguidamente el aceite vegetal escogido hasta rellenar el frasco, dejando siempre un pequeño espacio que permita la introducción de la pipeta y el mezclado de la sinergia. Etiqueta la fórmula y a disfrutarla, guardándola siempre al amparo de la luz y el calor.