6 Marc teòric i formulació d’hipòtesis i proposicions

6

MARC TEÒRIC I FORMULACIÓ D’HIPÒTESIS I PROPOSICIONS

Marta Mas-Machuca, Ramon Bastida, Dolors Gil-Doménech, Jasmina Berbegal-Miravent i Frederic Marimon (UIC)

Objectius del capítol

Els objectius principals que es tracten en aquest capítol són els següents:

1. Definir el concepte de marc teòric (theoretical framework) i destacar-ne la importància després d’haver plantejat la pregunta o preguntes de recerca.

2. Explicar com es formulen les hipòtesis de treball que responen a les preguntes de recerca establertes en els estudis quantitatius. En el cas d’estudis qualitatius, és més adequat formular proposicions, no pas hipòtesis. S’hi inclouran també algunes consideracions sobre aquestes proposicions.

3. Plantejar com sovint aquestes hipòtesis queden interrelacionades entre si, establint el model de recerca (research model) que identifica les relacions que s’estableixen entre les diferents variables.

6.1. Introducció

El present capítol explica com establir el marc teòric que pot contextualitzar millor la pregunta o preguntes de recerca prèviament establertes (vegeu capítol 5). Això permet formular la hipòtesi o hipòtesis de treball (o proposicions, en el cas d’estudis de tipus qualitatius) que responen a les preguntes de recerca. Sovint, aquestes hipòtesis estan interrelacionades entre si i configuren el model de recerca.

El capítol es divideix en tres parts. A la primera es defineixen els conceptes bàsics relacionats amb el marc teòric de recerca i s’introdueixen els seus components principals i les possibles tècniques per a la seva construcció. A la segona part es desenvolupen els aspectes més rellevants de la formulació d’hipòtesis en treballs de recerca de tipus quantitatiu o empíric, i de proposicions en projectes de recerca qualitativa. Finalment, a la tercera part s’explica com plantejar el model de recerca.

6.2. Marc teòric

Després de completar la revisió de la literatura i plantejar la pregunta o preguntes de recerca, l’investigador està preparat per desenvolupar el marc teòric. En aquesta secció expliquem el concepte i les funcions del marc teòric, els components que en formen part, les diferents metodologies per elaborar-lo, així com alguns consells bàsics per redactar-lo.

6.2.1. Concepte i funcions del marc teòric

Sekaran (1992) defineix el marc teòric com un model conceptual en el qual l’investigador teoritza sobre les relacions entre els diversos factors o variables que prèviament han estat identificats com a importants per a la seva pregunta o preguntes de recerca.

En la mateixa línia, Svinicki (2010) considera que el marc teòric és un conjunt d’idees (teories) interconnectades sobre com funciona un fenomen particular i com es relacionen les seves parts. El marc teòric serveix de base per a la comprensió dels patrons de causalitat o correlació entre successos, idees, notes, conceptes, coneixements i altres components d’experiències. En aquest context, Fulton i Krainovich-Miller (2010) descriuen el marc teòric com un mapa que ajuda a donar un sentit a les preguntes de recerca o hipòtesis.

Per tant, el marc teòric ha de demostrar una comprensió de les teories i conceptes rellevants per al tema de la recerca i que es refereixin a àrees més àmplies dels coneixements que s’estan considerant. En aquest sentit, cada vegada és més comú que el marc teòric incorpori teories de diverses disciplines.

D’altra banda, un bon marc teòric identifica i etiqueta les variables que són més rellevants per a la pregunta o preguntes de recerca i descriu les interconnexions entre aquestes variables: independents, dependents i, si cal, mediadores. El desenvolupament del marc teòric serveix per resoldre les qüestions de per què i com esperem que siguin les relacions entre les variables, i la naturalesa i direcció de les relacions entre elles.

6.2.2. Components del marc teòric

Sekaran (1992) identifica cinc components bàsics que s’haurien d’incloure en qualsevol marc teòric:

1. Les variables rellevants per a l’estudi han d’estar clarament identificades i etiquetades en el marc teòric.

2. El marc teòric ha d’explicar com dues o més variables estan relacionades entre si. Això s’ha de fer per a les relacions entre aquestes variables importants que apareixen en la teoria.

3. Si la naturalesa i la direcció de les relacions es pot teoritzar segons els resultats dels treballs anteriors, s’hauria d’indicar si les relacions serien positives o negatives.

4. Hi ha d’haver una explicació clara de per què s’hauria d’esperar que aquestes relacions existissin. Aquests arguments es poden basar en els resultats dels treballs de recerca anteriors.

5. És convenient incloure un diagrama o mapa del marc teòric perquè el lector pugui visualitzar les relacions entre variables.

Per a molts investigadors, el desenvolupament i l’ús de la teoria és una de les parts més complicades en la seva recerca. Per aquest motiu, és recomanable l’ús del mapa conceptual com a eina que permet desenvolupar i clarificar la teoria. Aquesta eina va ser originalment desenvolupada per Novak i Gowin (1984).

El mapa conceptual permet una representació visual de la teoria, una imatge del que la teoria diu que està passant en relació amb el fenomen que s’està estudiant. Aquest tipus de mapes no representen l’estudi en si, ni són una part específica del disseny de la recerca o proposta de recerca. Malgrat això, es poden utilitzar per presentar visualment el disseny de l’estudi. Els mapes conceptuals es poden utilitzar, per tant, com una eina per al desenvolupament del marc teòric. I igual que una teoria, un mapa conceptual conté dos elements: els conceptes i les relacions entre ells. Aquests solen estar representats com a cercles o caixes etiquetades i com a fletxes o línies que els connecten, respectivament. Per il·lustrar aquest concepte, la figura 6.1 mostra un exemple de mapa conceptual.

Figura 6.1. Exemple d’un mapa conceptual. Adaptació de Crosby (1995).

6.2.3. Elaboració del marc teòric

Maxwell (2005) proposa quatre tècniques per obtenir la informació necessària per elaborar un marc teòric en un treball de recerca: (1) els treballs de recerca existents, (2) l’anàlisi exploratòria o prova pilot, (3) els experiments, i (4) el propi coneixement de l’investigador.

1. Els treballs de recerca existents. Una de les principals fonts d’informació per elaborar un marc teòric és la teoria i la recerca existents. Malgrat això, un marc teòric no hauria de consistir simplement en un resum de les publicacions científiques consultades en la revisió de la literatura. Això podria portar a centrar-se exclusivament en la literatura, ignorant altres fonts conceptuals igualment importants, com articles no publicats, treballs en curs, etc.

2. L’anàlisi exploratòria o els estudis pilot. Serveixen per comprovar les idees o mètodes de l’investigador i explorar-ne les implicacions. Un ús important dels estudis pilot en treballs de recerca qualitativa és ajudar a entendre conceptes i teories basades en la població que l’investigador està estudiant: és el que es coneix com a interpretació. No s’han de confondre aquests estudis pilot, que serveixen per establir el marc teòric, amb els estudis definitius que s’utilitzaran després per contrastar les hipòtesis.

3. Els experiments. Els experiments tenen una llarga i respectada tradició en les ciències físiques i s’utilitzen regularment en les ciències socials com, per exemple, l’economia. Els experiments estimulen l’investigador per arribar a explicacions plausibles de les seves observacions. Es basen en la teoria i l’experiència per contestar a preguntes com «què passa si…?» i per explorar les implicacions lògiques dels models, suposicions i expectatives del que es vol estudiar.

4. El coneixement propi de l’investigador. Tradicionalment, el coneixement propi que aporta un investigador al treball de recerca s’ha tractat com un biaix en comptes de com un component valuós d’aquesta. Afortunadament, en els darrers temps la incorporació explícita de la identitat i experiència de l’investigador en la recerca ha guanyat un ampli suport teòric i filosòfic, sobretot en el camp de la recerca qualitativa.

En relació amb la redacció i revisió del marc teòric, és important que l’investigador tingui en compte els aspectes següents:

1. És important no prendre’s el que diu la teoria com un fet. En la construcció d’un marc teòric, el propòsit de l’investigador no és només descriptiu, sinó també crític. Cal comprendre (i comunicar-ho amb claredat en la proposta de recerca) quins problemes s’han produït en la recerca prèvia i la teoria, les contradiccions o buits que ha trobat en les visions existents i la manera en què l’estudi pot fer una contribució original. En aquest sentit, sempre s’han de tenir en compte les limitacions del marc teòric elegit, és a dir, quines parts del problema de recerca requereixen recerca addicional a causa que la teoria no explica adequadament un determinat fenomen.

2. L’investigador ha de posicionar el seu marc teòric dintre d’un context més ampli de marcs teòrics afins, conceptes, models o teories. En aquesta línia, Frodeman (2010) considera que una tendència creixent i cada vegada més important en les ciències socials és pensar i intentar comprendre els problemes específics de recerca des d’una perspectiva interdisciplinària. Una manera de fer-ho és no dependre exclusivament de les teories en una disciplina en particular, sinó pensar en com un problema pot ser informat per les teories desenvolupades en altres disciplines.

3. És bàsic descriure clarament el marc, els conceptes, els models o les teories específiques que sustenten l’estudi. Això inclou indicar qui són els autors teòrics clau que han realitzat treballs de recerca sobre el problema que s’està investigant i, quan calgui, el context històric en el qual transcorre la formulació de la teoria. En aquest sentit, els mapes conceptuals són de molta ajuda.

4. El marc teòric es redacta en temps present. Encara que el temps passat es pot utilitzar per descriure la història d’una teoria o el paper dels autors teòrics clau, la construcció del marc teòric per part de l’investigador està succeint en el moment actual.

5. Els supòsits teòrics han de ser tan explícits com sigui possible. Més endavant, la discussió de la metodologia ha d’estar vinculada de nou a aquest marc teòric.

6. Finalment, cal destacar la importància de la contribució conceptual o teòrica de la recerca i la contribució pràctica a aquesta. El marc teòric ajudarà a dibuixar d’una manera més clara on s’emmarca la contribució teòrica de l’estudi.

Com a síntesi podem dir que el marc teòric és una part important en el treball de recerca, ja que permet establir la base teòrica sobre la qual es desenvoluparà el treball. Partint de la pregunta de recerca (vegeu capítol 5), l’investigador ha d’identificar les variables clau i les relacions que s’hi estableixen. En aquesta fase és molt recomanable l’ús de mapes conceptuals, ja que permeten visualitzar les interrelacions existents entre les diferents teories vinculades al fenomen que s’està estudiant. La tècnica més comuna per a l’elaboració del marc teòric en ciències socials és la revisió de la literatura, encara que en altres camps també s’utilitza l’anàlisi exploratòria, els experiments, etc.

6.3. Hipòtesis i proposicions

Una vegada ha quedat establert el marc teòric, el nivell de concreció següent és la formulació de les hipòtesis de treball o de les proposicions. És important distingir entre hipòtesis i proposicions. En tots dos casos es tracta d’establir relacions entre conceptes o factors que s’han detectat com a importants en el marc teòric. Si l’investigador decideix fer un estudi empíric, l’adequat serà formular hipòtesis que estableixin relacions entre les variables rellevants del fenomen. Per contra, en estudis en què no es requereixin dades empíriques, l’adequat serà formular unes proposicions. Hi ha també la possibilitat d’utilitzar metodologies mixtes. Teddlie i Tashakkori (2006) analitzen els criteris per elegir quin tipus de metodologia és més adequada en cada cas. Evidentment, si s’utilitzen metodologies mixtes, s’hauran de formular hipòtesis en la part quantitativa i proposicions en la part qualitativa. Les dues subseccions següents es dedicaran a la formulació d’hipòtesis i a la formulació de proposicions.

6.3.1. Formulació d’hipòtesis en estudis de tipus empíric o quantitatiu

La paraula hipòtesi deriva de dues paraules llatines: hipo (‘sota’) i thesis (‘posició’ o ‘situació’). Per tant, una hipòtesi és una explicació suposada que està sota certs fets, als quals serveix de suport. Podríem dir que és quelcom que està amagat i que, per tant, no és evident a primera vista. Malgrat tot, la veracitat de tal suposició mereix el dubte de l’investigador. És una possible explicació, encara no confirmada, sobre com estan relacionades dues o més variables. Es podria dir que el que s’anomena l’estat de la qüestió encara no s’ha pronunciat. En aquest punt és remarcable la importància d’elegir bé quines seran les variables que s’analitzaran per estudiar les relacions que s’hi observen. També resulta fonamental establir proves de causalitat entre aquestes variables.

De totes maneres, una hipòtesi no és una simple intuïció, una suposició fantàstica, arbitrària o quimèrica, sinó que ha d’estar basada en el coneixement de l’investigador sobre el fenomen. Aquest coneixement arriba habitualment a través de dues vies: (1) per investigacions pròpies properes a l’estudi actual, o (2) a través de la lectura d’investigacions d’autors previs. Aquesta segona via és l’anàlisi de la literatura (vegeu capítol 4).

D’altra banda, les hipòtesis són afirmacions que se sotmetran a prova, amb dades extretes de la realitat objecte de l’anàlisi, amb intenció de mostrar que aquestes dades confirmen (o no poden confirmar) aquestes hipòtesis. La contrastació de les hipòtesis respon a la pregunta de recerca (vegeu capítol 5). Per això les hipòtesis s’han de formular de manera enunciativa i mai de manera interrogativa. En efecte, perquè una hipòtesi sigui una hipòtesi científica requereix que pugui ser analitzada i provada amb observacions empíriques. Aquestes proves se solen basar en anàlisis estadístiques (vegeu capítol 11). Aquestes tècniques d’anàlisi donen indicis a l’investigador perquè pugui acceptar cada hipòtesi (encara que sigui amb un cert grau de certesa) o, en cas contrari, rebutjar-la.

Tot el que s’ha dit anteriorment es concreta en alguns criteris a tenir en compte quan es formula una hipòtesi:

1. En primer lloc, una hipòtesi ha de ser simple, clara i senzilla en la seva formulació. El seu enunciat ha de ser comprès per qualsevol persona que la llegeixi. S’haurien d’evitar, per tant, frases subordinades.

2. La senzillesa en la redacció garantirà també que es pugui acceptar o rebutjar amb claredat. No tindria sentit una hipòtesi que pogués ser acceptada en part i rebutjada al mateix temps. És aconsellable que en el seu enunciat tan sols apareguin dues variables. Per exemple, no seria apropiat formular una hipòtesi com: «El concepte A impacta positivament en B i en C». Encara que s’entén que només es podrà acceptar aquesta hipòtesi si A impacta en B i C simultàniament, serà millor expressar aquesta suposició en dues hipòtesis separades. De vegades hi haurà més de dues variables en la hipòtesi com, per exemple, quan es vulgui testar la mediació d’una variable en la relació d’altres dues.

3. Identificar les variables independents i dependents a estudiar. La proposta d’hipòtesi ha de deixar clar quina és la dependent i quina, la independent.

4. S’ha de valorar també en aquest moment l’accessibilitat que es tindrà a la informació que es necessiti. L’obtenció de la mostra sol ser un dels aspectes més importants en les investigacions de tipus empíric (vegeu capítols 9 i 10).

5. Especificar la naturalesa de la relació que existeix entre les variables. És possible que la literatura pugui aportar proves sobre aquesta causalitat o que, simplement, es pugui dir que hi ha una correlació (vegeu capítol 11).

6. Ha de ser falsable i comprovable. L’investigador ha de ser capaç de proporcionar una metodologia per testar-la (vegeu capítol 13). Per tant, en el moment de plantejar una hipòtesi s’ha de tenir en compte també quins procediments estadístics es faran servir.

Podríem resumir tots aquests criteris dient que una hipòtesi ha d’estar clarament formulada, sense ambigüitats, de manera que, a partir d’ella, quedi establerta clarament la relació proposada de les variables i, a partir de la metodologia apropiada per al cas, es pugui dirimir si l’esmentada hipòtesi queda confirmada en vista de les dades empíriques recollides.

6.3.2. Estudis qualitatius

A continuació, es detallaran les particularitats de la formulació d’hipòtesis per a les metodologies qualitatives. Tot el que s’ha descrit en l’apartat anterior referent a com redactar una hipòtesi s’aplica en aquesta secció. Malgrat això, val la pena explicitar aquells aspectes propis dels estudis qualitatius que cal tenir en compte. Com ja s’ha comentat anteriorment, en els estudis qualitatius i conceptuals s’acostumen a utilitzar proposicions en lloc d’hipòtesis, però pot haver-hi alguns estudis qualitatius que tinguin raons legítimes per no enunciar cap proposició (Yin, 1989), contràriament als estudis quantitatius.

Els estudis qualitatius com, per exemple, els estudis de casos, són una de les maneres més habituals de fer recerca en el camp de les ciències socials (Yin, 1989). De manera concreta, és procedent aplicar el mètode del cas en tres situacions: (1) si les preguntes de recerca plantejades tenen en compte qüestions sobre com o per què ha succeït un fenomen, (2) si l’investigador té poc control sobre les variables del fenomen analitzat i, finalment, (3) si el focus de la investigació és un fenomen contemporani dintre del context actual. Aquest tipus de metodologies qualitatives cada vegada s’està aplicant més i es troben exemples fins i tot en el camp de la medicina (Rice i Ezzy, 1999).

Segons Yin (1989), hi ha cinc components especialment importants en el disseny de la investigació per a la metodologia del cas: (1) les preguntes de recerca, (2) les proposicions, si n’hi ha, (3) la unitat d’anàlisi, (4) la lògica que uneix les dades recollides i les proposicions, i (5) el criteri per interpretar els resultats. En el tema que ens toca analitzar en aquest apartat, les proposicions centren l’atenció en la relació de les variables que s’examinaran dintre de l’abast de la investigació.

Tal com s’ha comentat a l’inici del capítol, abans de començar a treballar en l’objecte de la investigació cal partir d’una literatura que serveixi de marc teòric (Yin, 1989; Cooper, 1984). El pas següent és fixar la frontera del coneixement: identificar el que es desconeix del fenomen i concretar el que es vol saber a través de l’estudi qualitatiu. Com a punt de partida d’aquest marc teòric, es pot utilitzar la formulació de les proposicions, així com de les seves teories rivals (explicacions alternatives), que són aquelles que intenten explicar un mateix resultat des d’un substrat teòric diferent del que caracteritza la teoria de referència (Larrinaga i Rodríguez, 2010).

En aquest sentit, les proposicions han de reflectir els fonaments teòrics que existeixen sobre l’objectiu de l’estudi i també han de destacar la prova rellevant que es tindrà en compte en els casos a estudiar. Les proposicions teòriques serviran de referència o punt de partida per a la recollida de dades de les diferents fonts. Es recomana que les proposicions teòriques incorporin els constructes, conceptes, dimensions o variables a aconseguir i validar. D’aquesta manera, serà possible contrastar-les i, si fa al cas, validar-les amb la informació obtinguda. Les proposicions hauran de ser contrastades a través de la informació recollida amb les entrevistes i s’haurà d’enunciar de manera clara i senzilla la relació entre les variables d’estudi.

Malgrat això, segons Eisenhardt (1989), les proposicions no han d’esbiaixar ni limitar els resultats a obtenir. Els resultats han d’ajudar a construir una teoria i oferir relacions específiques entre les variables. Malgrat això, l’autor suggereix evitar que des de l’inici de la investigació ja s’estableixin de manera clara i explícita els resultats a obtenir i les relacions entre les variables. A l’inici és important haver identificat les variables a investigar amb referència a la literatura prèvia existent i un punt de partida que pot anar canviant a mesura que avança la investigació. El cas extrem seria plantejar les proposicions després de la recollida de dades com proposen alguns autors com Gersik (1988) i Bettenhausen i Murninghan (1986). Aquestes aproximacions que suggereixen iniciar la recerca sense teories ni hipòtesis de partida difereixen de les propostes de Yin (1989), descrites anteriorment.

A continuació, s’ofereix un exemple d’una proposició en el camp de la gestió d’empreses en un article titulat «Prácticas de gestión de recursos humanos y desarrollo de nuevos proyectos innovadores: Un estudio de casos en las PYMEs» (Urbano et al., 2011). En concret, la recerca intenta respondre a les preguntes següents: (1) quines pràctiques relacionades amb els RH duen a terme les pimes per incentivar la col·laboració entre els seus membres i potenciar el comportament emprenedor, i (2) com influeixen les esmentades pràctiques en el desenvolupament de nous projectes innovadors a les pimes. Per donar resposta a aquestes preguntes de recerca la metodologia escollida és l’estudi de casos. De cara a plantejar les proposicions, els autors expliquen que «amb l’objectiu d’establir noves proposicions teòriques, es va adoptar una proposta inductiva de construcció explicativa (Eisenhardt, 1989) i prèviament es va fer una anàlisi dels casos en profunditat, de manera individual i comparativa» (Urbano et al., 2011). Els resultats generals obtinguts després de l’estudi de casos van portar els autors a corroborar les conclusions proposades per recerques anteriors realitzades en empreses de més tamany, les quals asseguren que les relacions contractuals basades en la confiança faciliten les iniciatives cooperatives requerides per al desenvolupament de projectes innovadors. Com a exemple, algunes de les proposicions proposades en aquest article són les següents:

Proposició 1: el desenvolupament de nous projectes innovadors a les pimes es vincula positivament amb l’existència de relacions cordials i afables entre els seus membres.

Proposició 2: el desenvolupament de nous projectes innovadors a les pimes es relaciona positivament amb l’existència d’un clima laboral basat en la confiança mútua entre els seus membres.

6.4. Model de recerca

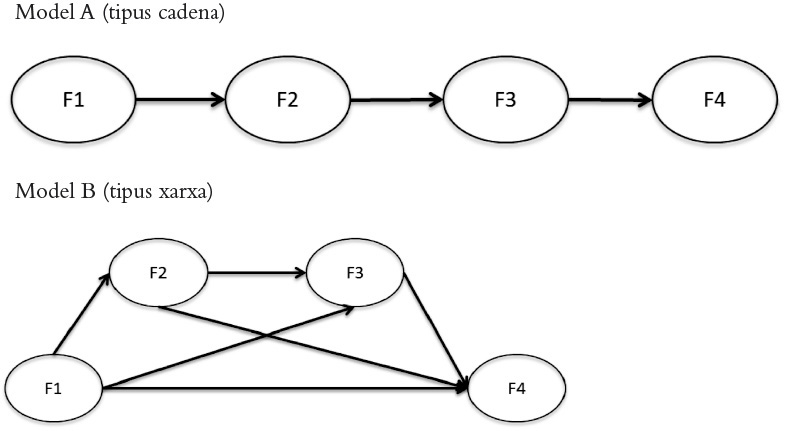
El tercer objectiu del capítol és la proposta del model de recerca, el qual s’aplica fonamentalment en investigacions en ciències bàsiques i socials de tipus quantitatiu. En efecte, en el cas dels estudis quantitatius es pot donar el cas en què una variable formi part d’una hipòtesi com a efecte i, alhora, sigui causa d’un efecte subsegüent, de manera que s’estableix una seqüència de causes i efectes. El fenomen quedaria modelat com una cadena. Pot passar també que una mateixa variable causi simultàniament dos o més efectes i configuri un model semblant a una xarxa. Encara es pot complicar més el model en el cas que una variable actuï de mediadora entre altres dues.

Com a exemple, la figura 6.2 mostra dos possibles models de recerca en els quals cada fletxa representa una hipòtesi que relaciona dues variables. L’investigador pot pensar que les variables que analitza queden relacionades seqüencialment formant una cadena (Model A), o bé que es relacionen de manera més complexa formant una xarxa (Model B).

Figura 6.2. Exemples de models de recerca. Font: elaboració pròpia.

En la figura 6.2 cada oval representa una variable. L’investigador podria proposar com a primera hipòtesi que, per exemple, la qualitat percebuda pels clients d’un servei determinat (F1) impacta positivament en la satisfacció del client (F2), que al seu torn és antecedent de la fidelització del client (F3) que, finalment, explica el comportament d’aquest client en termes de quantitat de compra realitzada (F4). Aquest seria el model lineal (figura 6.2, model A). Alternativament es podria pensar que la qualitat percebuda (F1) incideix directament en la satisfacció (F2), però també directament sobre la fidelització (F3) i en el comportament real de compra (F4). A més, al seu torn, les variables següents incideixen directament sobre les que es troben més a la dreta i donen com a resultat un model tipus xarxa (figura 6.2, model B).

En funció d’aquest model, o dels models que l’investigador desitgi fer competir per determinar quin mostra millor comportament, s’escollirà la tècnica més adequada (vegeu capítol 11). D’altra banda, en els estudis qualitatius les proposicions es poden agregar en un mapa conceptual tal com ja es va apuntar en la secció 6.2.2 del present capítol.

6.5. Conclusions

El marc teòric és el conjunt d’idees, relacionades entre elles, que permet entendre com funciona un fenomen que es vol investigar. Per tant, resulta de gran utilitat a l’hora d’analitzar els patrons de causalitat entre les esmentades idees o conceptes. Per poder elaborar un marc teòric adequat és important que tant les variables rellevants (dependents, independents, etc.) de l’estudi de recerca com les relacions entre aquestes estiguin ben identificades en el marc teòric. En aquest sentit, els mapes conceptuals són una eina molt útil per representar gràficament les relacions entre les variables i ajuden a desenvolupar-ne el marc teòric.

La principal font d’informació per a l’elaboració del marc teòric són els estudis de recerca existents i la literatura, encara que no s’ha d’oblidar que hi ha altres fonts igualment importants com són els resultats d’anàlisis exploratòries o els estudis pilot, els resultats d’experiments o els propis coneixements de l’investigador. En aquest sentit, és important que, en la construcció del marc teòric, l’investigador no es limiti únicament a fer una descripció de la informació recollida, sinó que ha d’aportar la seva visió crítica sobre el fenomen analitzat.

Una vegada establert aquest marc, cal establir de quina manera concreta es relacionen els factors. La manera de procedir en aquest punt depèn de la naturalesa de l’estudi. Si es vol abordar l’anàlisi des d’una perspectiva empírica, extraient informació de camp que ajudi a entendre el fenomen d’anàlisi, el més adequat serà formular una o diverses hipòtesis. Cada hipòtesi és una afirmació que se sotmetrà a prova, amb dades extretes de la realitat, per mostrar que aquestes dades confirmen (o no) aquesta afirmació.

Freqüentment, una hipòtesi proposa una relació de causalitat entre dues variables. Si es presenten diverses hipòtesis, poden mostrar una xarxa de causes-efectes que conforma el model de recerca.

En el cas que es consideri que és més adequat l’ús de metodologies qualitatives per analitzar el fenomen, es formularan proposicions. Aquestes es poden plantejar en el moment en què es faci la revisió i justificació de la literatura, o bé després d’haver recollit la informació dels casos d’estudi. En totes dues situacions les proposicions hauran d’estar relacionades amb la pregunta de la recerca.

Bibliografia

Bettenhausen, K. i Murnighan, J. K. (1986). «The emergence of norms in competitive decision-making groups». Administrative Science Quarterly. 30, p. 350-372.

Cooper, H. (1984). The integrative research review. Sage, Beverly Hills, CA.

Crosby, B. (1995). Swamp Leadership: The Wisdom of the Craft (Tesi doctoral). Harvard Graduate School of Education.

Eisenhardt, K. M. (1989). «Building theories from case study research». Academy of Management Review. 14 (4), p. 532-550.

Frodeman, R. (2010). The Oxford Handbook of Interdisciplinarity. Oxford University Press, Nova York.

Fulton, S. i Krainovich-Miller B. (2010). «Gathering and appraising the literature». A: LoBiondo-Wood G, Haber, J (eds.). Nursing Research: Methods and Critical Appraisal for Evidence-Based practice. Mosby Elsevier, Saint Louis.

Gersick, C. (1988) «Time and transition in work teams: Toward a new model of group development». Academy of Management Journal. 31, p. 9-41.

Larrinaga, O. V. i Rodriguez, J. L. (2010). «Case study as a methodology of scientific research in business economics and management. An application of the internationalisation». European Research on Management and Business Economics, 16 (3), p. 31.

Maxwell, J. (2005). «Conceptual framework: What do you think is going on?». A: Qualitative Research Design: An Interactive Approach. SAGE Publications, Thousand Oaks, p. 33-64.

Novak, J. D. i Gowin, D. B. (1984). Learning How To Learn. Cambridge University Press.

Rice, P. L. i Ezzy, D. (1999). Qualitative research methods: A health focus. Oxford University Press, Melbourne.

Sekaran, U. (1992). Researh Methods for Business. A Skill Building Approach. Wiley International Editions.

Svinicki, M. D. (2010). A Guidebook On Conceptual Frameworks For Research in Engineering Education. University of Texas.

Teddlie, C. i Tashakkori, A. (2006). «A general typology of research designs». Research in the Schools. 13 (1), p. 12-28.

Urbano, D. i Ribeiro-Soriano, D. (2011). «Human Resources Management Practices and Corporate Entrepreneurship: A Case Study in SMEs». Universia Business Review. 29, p. 116.

Yin, R. K. (1989). Case study research: Design and methods. Applied Social Research Series, 5. SAGE Publications, Thousand Oaks.