
Expondremos, seguidamente, la relación de esta asignatura con
otras áreas del conocimiento de la Economía de la Empresa.
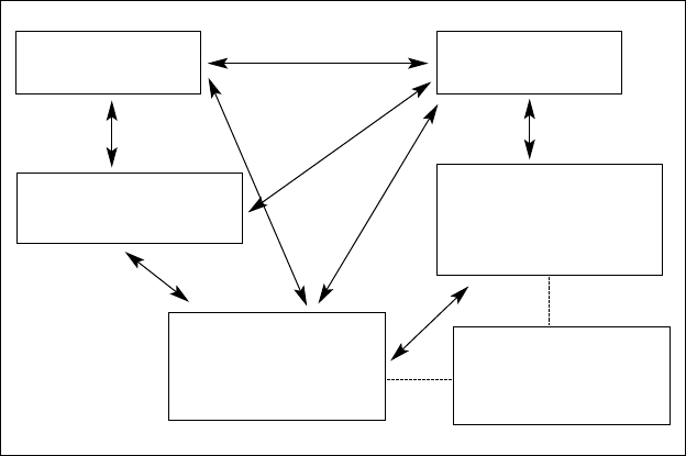
Partiendo de la Teoría de la Organización, sabemos que en ella se
incluyen los Recursos Humanos. Como la Organización ha de adap-
tarse a cada empresa y a cada situación, la Política Organizativa nos
indica cuál es el diseño más oportuno en relación con la Política
Estratégica de la Empresa. Ahora bien: los Recursos Humanos
actúan en el marco de esa Política Estratégica de la Empresa
mediante la Dirección de Personal o Dirección de Recursos
Humanos, de la cual podemos «desglosar» para su estudio particu-
lar la Administración y Gestión de Recursos Humanos, en donde se
aborda qué hacer con lo que ya tenemos: recolocar al personal den-
tro de la empresa, mantenerlo en su puesto o despedirlo. En forma
de esquema encontramos las siguientes relaciones:
Gr áfico 1 3
donde vemos cómo se encuentran correlacionadas entre sí y la
dificultad que existe para entender una sin conocer las demás.
Partiendo, pues, de la relación existente entre Planificación,
Dirección y Administración:
Recursos Humanos
158
ORGANIZACIÓN
POLÍTICA
ORGANIZATIVA
POLÍTICA
ESTRATÉGICA
DE LA EMPRESA
ADMINISTRACIÓN
Y GESTIÓN DE
RR. HH.
RECURSOS
HUMANOS
DIRECCIÓN DE
PERSONAL
o de los RR. HH.